Нормативные документы размещены исключительно с целью ознакомления учащихся ВУЗов, техникумов и училищ.
Объявления:

Приказ Министерства энергетики РФ от 30 декабря 2008 г. № 326

Об организации в Министерстве энергетики Российской Федерации работы по утверждению нормативов технологических потерь электроэнергии при ее передаче по электрическим сетям

(с изменениями от 1 февраля 2010 г.)

В соответствии с пунктом 4.2.4 Положения о Министерстве энергетики Российской Федерации, утвержденного постановлением Правительства Российской Федерации от 28 мая 2008 г. № 400 (Собрание законодательства Российской Федерации, 2008, № 22, ст. 2577; № 42, ст. 4825; № 46, ст. 5337), приказываю:

1. Утвердить прилагаемую Инструкцию по организации в Министерстве энергетики Российской Федерации работы по расчету и обоснованию нормативов технологических потерь электроэнергии при ее передаче по электрическим сетям .

2. Признать утратившим силу приказ Министерства промышленности и энергетики Российской Федерации от 4 октября 2005 г. № 267 "Об организации в Министерстве промышленности и энергетики Российской Федерации работы по утверждению нормативов технологических потерь электроэнергии при ее передаче по электрическим сетям" (зарегистрирован в Минюсте России 28 октября 2005 г., регистрационный № 7122).

Министр                                                                                                                     С.И. Шматко

Зарегистрировано в Минюсте РФ 12 февраля 2009 г.

Регистрационный № 13314

Инструкция
по организации в Министерстве энергетики Российской Федерации работы по расчету и обоснованию нормативов технологических потерь электроэнергии при ее передаче по электрическим сетям

(с изменениями от 1 февраля 2010 г.)

Содержание

I. Общие положения

II. Структура технологических потерь электроэнергии при ее передаче по электрическим сетям

III. Общие принципы нормирования технологических потерь электроэнергии при ее передаче по электрическим сетям

IV. Требования к оформлению и составу обосновывающей документации

Приложение 1 Методика расчета технологических потерь электроэнергии при ее передаче по электрическим сетям в базовом периоде

I. Методы расчета условно-постоянных потерь (не зависящих от нагрузки)

II. Расчет активных сопротивлений линий, шинопроводов, обмоток трансформаторов (автотрансформаторов)

III. Методы расчета нагрузочных потерь электроэнергии

IV. Порядок расчета потерь, обусловленных допустимыми погрешностями системы учета электроэнергии

Приложение 2 Номенклатура элементов расхода электроэнергии на собственные нужды подстанций

Приложение 3 Формы таблиц, обосновывающих значения нормативов технологических потерь электроэнергии

Приложение 4 Формы таблиц, обосновывающих значения нормативов технологических потерь электроэнергии*

Приложение 5* Формы таблиц, обосновывающих значения нормативов технологических потерь электроэнергии

I. Общие положения

1. Настоящая Инструкция разработана в целях организации в Минэнерго России работы по расчету и обоснованию нормативов технологических потерь электроэнергии и их снижения в электрических сетях организаций, осуществляющих услуги по передаче электроэнергии, в том числе территориальных сетевых организаций, (далее - ТСО), федеральной сетевой компании (далее - ФСК) и магистральных сетевых компаний (далее - МСК).

2. Технологические потери электроэнергии при ее передаче по электрическим сетям на регулируемый период рассчитываются как в целом, так и с разбивкой по уровням напряжения:

на высоком напряжении - 110 кВ и выше (ВН);

на среднем первом напряжении - 27,5-60 кВ (CHI);

на среднем втором напряжении - 1-20 кВ (СНII);

на низком напряжении - 0,4 кВ и ниже (НН).

Приказом Минэнерго РФ от 1 февраля 2010 г. № 36 настоящая Инструкция дополнена пунктом 2.1

2.1. Величины поэтапного снижения технологических потерь электроэнергии при ее передаче по электрическим сетям рассчитываются на основании данных о фактических потерях электрической энергии за базовый период, полученных на основании показаний приборов учета.

II. Структура технологических потерь электроэнергии при ее передаче по электрическим сетям

3. Технологические потери электроэнергии (далее - ТПЭ) при ее передаче по электрическим сетям ТСО, ФСК и МСК включают в себя технические потери в линиях и оборудовании электрических сетей, обусловленных физическими процессами, происходящими при передаче электроэнергии в соответствии с техническими характеристиками и режимами работы линий и оборудования, с учетом расхода электроэнергии на собственные нужды подстанций и потери, обусловленные допустимыми погрешностями системы учета электроэнергии. Объем (количество) технологических потерь электроэнергии в целях определения норматива технологических потерь электроэнергии при ее передаче по электрическим сетям рассчитывается в соответствии с Методикой расчета технологических потерь электроэнергии при ее передаче по электрическим сетям в базовом периоде (приложение 1 к настоящей Инструкции).

4. Технические потери электроэнергии в электрических сетях, возникающие при ее передаче по электрическим сетям, состоят из потерь, не зависящих от величины передаваемой мощности (нагрузки) - условно-постоянных потерь, и потерь, объем которых зависит от величины передаваемой мощности (нагрузки) - нагрузочных (переменных) потерь.

5. Потери, обусловленные допустимыми погрешностями системы учета, определяются в соответствии с приложением 1 к настоящей Инструкции.

6. Расход электроэнергии на собственные нужды определяется в соответствии с приборами учета. Номенклатура элементов расхода электроэнергии на собственные нужды приведена в приложении 2 к настоящей Инструкции.

III. Общие принципы нормирования технологических потерь электроэнергии при ее передаче по электрическим сетям

Приказом Минэнерго РФ от 1 февраля 2010 г. № 36 в пункт 7 настоящей Инструкции внесены изменения

7. Технологические потери электроэнергии при ее передаче по электрическим сетям рассчитываются за базовый (отчетный год, предшествующий году расчета) и на регулируемый периоды (год) по фактическим и прогнозным показателям баланса электроэнергии.

Для расчета норматива технологических потерь при передаче электрической энергии на регулируемый период допускается учитывать данные текущего периода, полученные в процессе сбора информации о фактической загрузке сетей (изменения схемы потокораспределения электрической энергии и мощности) и данные фактических потерь электроэнергии на основе показаний приборов учета, в случае чрезвычайных ситуаций, вызванных техногенными авариями на сетевом и генерирующем оборудовании, если неоптимальное функционирование сетей будет распространяться и на период регулирования.

8. Технологические потери электроэнергии при ее передаче по электрическим сетям на регулируемый период определяются в зависимости от расчетного значения ТПЭ за базовый период и показателей баланса электроэнергии за базовый и на регулируемый периоды.

9. Технологические потери электроэнергии при ее передаче по электрическим сетям ТСО, ФСК и МСК рассчитываются раздельно по составляющим: условно-постоянные, нагрузочные и потери, обусловленные допустимыми погрешностями системы учета.

10. Условно-постоянные потери электроэнергии на регулируемый период принимаются по результатам их расчетов за базовый период и корректируются в соответствии с изменением состава оборудования на регулируемый период.

11. Нагрузочные потери электроэнергии при ее передаче по электрическим сетям ТСО на регулируемый период определяются по формуле:

,                                                                             (1)

где ΔWН.Б, ΔWН.Р - нагрузочные потери электроэнергии за базовый и на регулируемый периоды соответственно;

WОС.Б, WОС.Р - отпуск электроэнергии в сеть в базовом и регулируемом периодах соответственно.

В случае принятия на обслуживание сетевого оборудования в регулируемом периоде, неучтенного при расчете нагрузочных потерь базового периода, нагрузочные потери электроэнергии в таком оборудовании на регулируемый период рассчитываются дополнительно. В случае демонтажа сетевого оборудования в регулируемом периоде, учтенного при расчете нагрузочных потерь базового периода, нагрузочные потери в таком оборудовании на регулируемый период исключаются из расчетов.

12. Нагрузочные потери электроэнергии при ее передаче по электрическим сетям ФСК и МСК на регулируемый период определяются по формуле:

,                                                                             (2)

где Wотп.Б, Wотп.Р - отпуск электроэнергии из сети в базовом и регулируемом периодах соответственно.

13. Потери электроэнергии, обусловленные допустимыми погрешностями системы учета электроэнергии, на регулируемый период для ТСО определяются:

,                                                                          (3)

где ΔWпогр.Б,%, - потери электроэнергии, обусловленные допустимыми погрешностями системы учета электроэнергии, за базовый период в относительных единицах (Методика расчета приведена в приложении 1 к настоящей Инструкции).

14. Потери электроэнергии, обусловленные допустимыми погрешностями системы учета электроэнергии, на регулируемый период для ФСК и МСК определяются:

.                                                                          (4)

15. Технологические потери электроэнергии при ее передаче по электрическим сетям ТСО, ФСК и МСК по абсолютной величине (WТПЭ.Р) на регулируемый период определяются:

,                                                                (5)

где ΔWу-п.Р - условно-постоянные потери электроэнергии на регулируемый период.

16. Норматив технологических потерь электроэнергии при ее передаче по электрическим сетям (далее - НТПЭ) определяется в процентах по электрической сети в целом и рассчитывается по формуле:

,                                                                                (6)

где WОС.Р - отпуск электроэнергии в сеть ТСО в регулируемом периоде (для ФСК и МСК - отпуск электроэнергии из сети своей компании).

17. Определение технологических потерь электроэнергии в электрических сетях ТСО в целом и по уровням напряжения осуществляется в следующем порядке:

В базовом периоде:

определяется на каждом уровне напряжения сети отпуск электроэнергии в сеть (с учетом приема электроэнергии из сети смежного напряжения);

определяются условно-постоянные потери электроэнергии в целом и по уровням напряжения;

определяются нагрузочные потери электроэнергии в целом и по уровням напряжения;

определяются потери электроэнергии, обусловленные допустимыми погрешностями системы учета электроэнергии, в целом и по уровням напряжения.

В регулируемом периоде:

определяется на каждом уровне напряжения сети прогнозное значение отпуска электроэнергии в сеть (с учетом приема электроэнергии из сети смежного напряжения);

нагрузочные потери электроэнергии по уровням напряжения определяются в соответствии с формулой (1);

нагрузочные потери электроэнергии в целом определяются как сумма нагрузочных потерь электроэнергии по уровням напряжения;

условно-постоянные потери электроэнергии принимаются в соответствии с пунктом 10 в целом и по уровням напряжения;

потери электроэнергии, обусловленные допустимыми погрешностями системы учета электроэнергии, определяются в соответствии с формулой (3) и распределяются по уровням напряжения в соответствии с разделом IV приложения 1;

технологические потери электроэнергии определяются в соответствии с формулой (5) в целом и по уровням напряжения.

18. Нормирование потерь электроэнергии в электрических сетях ТСО, для которых передача электроэнергии не является основным видом деятельности (далее - предприятия), оказывающих услуги по передаче электроэнергии потребителям (субабонентам), подключенным к электрической сети предприятия, выполняется в соответствии с общими принципами нормирования технологических потерь электроэнергии (пункты 7-17 настоящей главы).

19. Расчет технологических потерь электроэнергии для предприятий за базовый период должен выполняться в соответствии с приложением 1 к настоящей Инструкции.

20. Формы обосновывающих материалов заполняются для электрической сети, участвующей в процессе передачи электроэнергии субабонентам.

21. Оборудование электрической сети предприятия, используемое только для собственного потребления электроэнергии, из расчета исключается.

22. В случае отсутствия собственного потребления в электрической сети, участвующей в процессе передачи электроэнергии субабонентам, нормирование потерь электроэнергии осуществляется с учетом следующих особенностей:

баланс электроэнергии составляется для выделенной электрической сети, участвующей только в процессе передачи электроэнергии субабонентам за базовый и на регулируемый периоды;

норматив технологических потерь электроэнергии на регулируемый период определяется по формулам (1) - (5) настоящей главы. При этом в формуле (1) принимается отпуск в сеть, участвующий в процессе передачи электроэнергии только для субабонентов.

23. В случае наличия объемов электроэнергии для собственного потребления в электрической сети, участвующей в процессе передачи электроэнергии субабонентам, нормирование потерь электроэнергии осуществляется с учетом следующих особенностей:

баланс электроэнергии составляется для выделенной электрической сети, участвующей в процессе передачи электроэнергии субабонентам, с учетом собственного потребления и потребления субабонентами за базовый и на регулируемый периоды;

баланс формируется с учетом суммарного отпуска электроэнергии в сеть предприятия;

расчет технологических потерь электроэнергии за базовый период выполняется в оборудовании, участвующем в процессе передачи электроэнергии субабонентам, с учетом нагрузок, обусловленных собственным потреблением и потреблением субабонентов;

технологические потери электроэнергии на регулируемый период выделенного участка сети определяются по формулам (1) - (5) настоящей главы. При этом в формуле (1) принимается суммарный отпуск в сеть предприятия;

технологические потери электроэнергии на регулируемый период (ΔWТПЭ.СБ.Р) для субабонентов определяются по формуле:

,                                                    (7)

где ΔWТПЭ.Σ.Р - технологические потери электроэнергии на регулируемый период, определяемые для выделенного участка сети, участвующего в процессе передачи электроэнергии субабонентам и на собственное потребление;

WП.СБ.Р - объем переданной электроэнергии для субабонентов на регулируемый период;

WП.СП.Р - объем переданной электроэнергии для собственного потребления предприятия по электрической сети, участвующей в процессе передачи электроэнергии субабонентам;

отпуск в сеть для субабонентов на регулируемый период (WОС.СБ.Р) определяется по формуле:

;                                                                              (8)

нормативные технологические потери электроэнергии на регулируемый период для субабонентов определяется по формуле:

.                                                                            (9)

24. В случае невозможности разделения оборудования электрической сети предприятия на оборудование, используемое только для собственного потребления электроэнергии, и оборудование, участвующее в процессе передачи электроэнергии субабонентам, допускается расчет технологических потерь электроэнергии за базовый период проводить в целом по электрической сети предприятия. Расчет выполняется в соответствии с пунктами 18-20, 23 настоящей главы.

IV. Требования к оформлению и составу обосновывающей документации

25. Обосновывающая документация брошюруется в отдельную книгу и включает: пояснительную записку с обоснованием значений нормативов технологических потерь электроэнергии на период регулирования, результаты расчета ТПЭ и НТПЭ на регулируемый и базовый периоды.

26. В состав обосновывающих материалов входят данные о балансах и потерях электроэнергии, а также других показателях электрических сетей ТСО, ФСК и МСК (приложения 3, 4, 5* к настоящей Инструкции):

За базовый период:

показатели баланса электроэнергии в целом по электрическим сетям (таблица 1 приложений 3, 4, 5);

структура баланса электроэнергии по уровням напряжения (таблица 2 приложений 3, 4, 5);

структура перетоков электроэнергии (таблица 3 приложений 3, 4, 5);

структура технологических потерь электроэнергии (таблица 4 приложений 3, 4, 5);

программа снижения потерь (таблица 5 приложений 3, 4, 5);

сводный баланс электроэнергии по уровням напряжения (таблица 6 приложений 3, 4, 5);

количество и установленная мощность трансформаторов (таблица 7 приложений 3, 4, 5);

количество и мощность устройств компенсации реактивной мощности (таблица 8 приложений 3, 4, 5);

протяженность (по цепям) воздушных и кабельных линий электропередачи и шинопроводов (таблица 9 приложений 3, 4, 5).

На регулируемый период:

показатели баланса электроэнергии в целом по электрическим сетям (таблица 1 приложений 3, 4, 5);

структура баланса электроэнергии по уровням напряжения (таблица 2А приложений 3, 4, 5);

структура технологических потерь электроэнергии (таблица 4А приложений 3, 4, 5);

программа снижения потерь (таблица 5 приложений 3, 4, 5);

сводный баланс электроэнергии по уровням напряжения (таблица 6 приложений 3, 4, 5);

количество и установленная мощность трансформаторов (таблица 7 приложений 3, 4, 5);

количество и мощность устройств компенсации реактивной мощности (таблица 8 приложений 3, 4, 5);

протяженность (по цепям) воздушных и кабельных линий электропередачи и шинопроводов (таблица 9 приложений 3, 4, 5).

27. Все результаты расчетов НТПЭ за базовый и на регулируемый периоды Минэнерго России получает на бумажном носителе и в электронном виде:

пояснительная записка - в формате текстового процессора;

базы данных (при использовании программного обеспечения);

расчеты в формате табличного процессора (в случае отсутствия программного обеспечения);

таблицы приложений 3, 4, 5 в формате табличного процессора или в формате текстового процессора.

28. Программные комплексы по расчету потерь основываются на методах расчета потерь, установленных настоящей Инструкцией, и имеют сертификат соответствия.

29. В пояснительной записке указываются сведения об используемых программах расчета технологических потерь электроэнергии в электрических сетях (наименование программы, наименование разработчика, номер и год разработки используемой версии, копия сертификата соответствия и др.).

_____________________________

* ТСО представляют информацию согласно Приложению 3. ФСК и МСК - согласно Приложению 4, предприятия (ТСО, для которых передача электроэнергии не является основным видом деятельности) - согласно Приложению 5.

Приложение 1

к Инструкции по организации в Министерстве

энергетики Российской Федерации работы

по расчету и обоснованию нормативов

технологических потерь электроэнергии

при ее передаче по электрическим сетям

Методика расчета технологических потерь электроэнергии при ее передаче по электрическим сетям в базовом периоде

I. Методы расчета условно-постоянных потерь (не зависящих от нагрузки)

1. Условно-постоянные потери включают:

потери на холостой ход силовых трансформаторов (автотрансформаторов);

потери на корону в воздушных линиях (далее - ВЛ) 110 кВ и выше;

потери в синхронных компенсаторах, батареях статических конденсаторов, статических тиристорных компенсаторах, шунтирующих реакторах (далее - ШР);

потери в соединительных проводах и сборных шинах распределительных устройств подстанций (далее - СППС);

потери в системе учета электроэнергии (трансформаторах тока (далее - ТТ), трансформаторах напряжения (далее - ТН), счетчиках и соединительных проводах);

потери в вентильных разрядниках, ограничителях перенапряжений;

потери в устройствах присоединений высокочастотной связи (далее - ВЧ связи);

потери в изоляции кабелей;

потери от токов утечки по изоляторам ВЛ;

расход электроэнергии на собственные нужды (далее - СН) подстанций (далее - ПС);

расход электроэнергии на плавку гололеда.

2. Потери электроэнергии холостого хода (далее - XX) в силовом трансформаторе (автотрансформаторе) определяются на основе приведенных в паспортных данных оборудования потерь мощности холостого хода , по формуле:

, кВт.ч,                                                                        (1)

где Тpi - число часов работы трансформатора (автотрансформатора) в i-м режиме, ч;

Ui - напряжение на высшей стороне трансформатора (автотрансформатора) в i-м режиме, кВ;

Uном - номинальное напряжение высшей обмотки трансформатора (автотрансформатора), кВ.

Напряжение на трансформаторе (автотрансформаторе) определяется с помощью измерений или с помощью расчета установившегося режима сети в соответствии с законами электротехники.

Допускается для силовых трансформаторов (автотрансформаторов) потери мощности XX определять с учетом их технического состояния и срока службы путем измерений этих потерь методами, применяемыми на заводах-изготовителях при установлении паспортных данных трансформаторов (автотрансформаторов). При этом в обосновывающие материалы целесообразно включать официально заверенные в установленном порядке протоколы измерений потерь мощности XX.

3. Потери электроэнергии в ШР определяются по формуле (1) на основе приведенных в паспортных данных оборудования потерь мощности ΔРр. Допускается определять потери в ШР на основе данных таблицы 1. Потери электроэнергии в сборных шинах распределительных устройств подстанций определяются на основе данных таблицы 1.

Таблица 1

Потери электроэнергии в шунтирующих реакторах (ШР) и соединительных проводах и сборных шинах распределительных устройств подстанций (СППС)

Вид оборудования

Удельные потери электроэнергии при напряжении, кВ

6

10

15

20

35

60

110

154

220

330

500

750

ШР, тыс.кВт.ч/МВ×А в год

84

84

74

65

36

35

32

31

29

26

20

19

СППС, тыс.кВт.ч на ПС в год

1,3

1,3

1,3

1,3

3

6

11

18

31

99

415

737

Примечание - Значения потерь, приведенные в таблице, соответствуют году с числом дней 365. При расчете потерь в високосном году применяется коэффициент к = 366/365.

Потери электроэнергии в соединительных проводах и сборных шинах распределительных устройств ТП 6-20/0,4 кВ не рассчитываются.

Если при определении нормативных технологических потерь электроэнергии выполнялись расчеты потерь электроэнергии в шинопроводах подстанций, потери электроэнергии в соединительных проводах и сборных шинах распределительных устройств не рассчитываются.

4. Потери электроэнергии в синхронном компенсаторе (далее - СК) или генераторе, переведенном в режим СК, определяются по формуле:

, кВт.ч,                                                                      (2)

где βQ - коэффициент максимальной нагрузки СК в базовом периоде;

ΔРном - потери мощности в режиме номинальной загрузки СК в соответствии с паспортными данными, кВт.

Допускается определять потери в СК на основе данных таблицы 2.

Таблица 2

Потери электроэнергии в синхронных компенсаторах

Вид оборудования

Потери электроэнергии, тыс.кВт.ч в год, при номинальной

мощности СК, МВ×А

5

7,5

10

15

30

50

100

160

320

СК

400

540

675

970

1570

2160

3645

4725

10260

Примечания:

1. При мощности СК, отличной от приведенной в таблице, потери электроэнергии определяются с помощью линейной интерполяции.

2. Значения потерь, приведенные в таблице, соответствуют году с числом дней 365. При расчете потерь в високосном году применяется коэффициент к=366/365.

5. Потери электроэнергии в статических компенсирующих устройствах - батареях статических конденсаторов (далее - БК) и статических тиристорных компенсаторах (далее - СТК) - определяются по формуле:

, кВт.ч,                                                                                      (3)

где ΔРКУ - удельные потери мощности в соответствии с паспортными данными КУ, кВт/квар;

SКУ - мощность КУ (для СТК принимается по емкостной составляющей), квар.

При отсутствии паспортных данных оборудования значение ΔРКУ принимается равным: для БК - 0,003 кВт/квар, для СТК - 0,006 кВт/квар.

6. Потери электроэнергии в вентильных разрядниках, ограничителях перенапряжений, устройствах присоединения ВЧ связи, измерительных трансформаторах напряжения, электрических счетчиках 0,22-0,66 кВ принимаются в соответствии с данными заводов-изготовителей оборудования. При отсутствии данных завода-изготовителя расчетные потери принимаются в соответствии с таблицей 3.

Таблица 3

Потери электроэнергии в вентильных разрядниках (РВ), ограничителях перенапряжений (ОПН), измерительных трансформаторах тока (ТТ) и напряжения (ТН) и устройствах присоединения ВЧ связи (УПВЧ)

Класс напряжения, кВ

Потери электроэнергии, тыс.кВт.ч в год, по видам оборудования

РВ

ОПН

ТТ

ТН

УПВЧ

6

0,009

0,001

0,06

1,54

0,01

10

0,021

0,001

0,1

1,9

0,01

15

0,033

0,002

0,15

2,35

0,01

20

0,047

0,004

0,2

2,7

0,02

35

0,091

0,013

0,4

3,6

0,02

110

0,60

0,22

1,1

11,0

0,22

154

1,05

0,40

1,5

11,8

0,30

220

1,59

0,74

2,2

13,1

0,43

330

3,32

1,80

3,3

18,4

2,12

500

4,93

3,94

5,0

28,9

3,24

750

4,31

8,54

7,5

58,8

4,93

Примечания

1. Потери электроэнергии в УПВЧ даны на одну фазу, для остального оборудования - на три фазы.

2. Потери в трех однофазных ТН принимаются равными потерям в одном трехфазном ТН.

3. Потери электроэнергии в ТТ напряжением 0,4 кВ принимаются равными 0,05 тыс. кВт×ч/год.

4. Значения потерь, приведенные в таблице, соответствуют году с числом дней 365. При расчете потерь в високосном году применяется коэффициент к = 366/365.

5. Потери электроэнергии в ТТ и ТН включают потери в счетчиках, входящих в состав измерительных комплексов.

Потери электроэнергии в электрических счетчиках прямого включения 0,22-0,66 кВ принимаются в соответствии со следующими данными, кВт.ч в год на один счетчик:

однофазный, индукционный - 18,4;

трехфазный, индукционный - 92,0;

однофазный, электронный - 21,9;

трехфазный, электронный - 73,6.

7. Потери электроэнергии на корону определяются на основе данных об удельных потерях мощности, приведенных в таблице 4, и о продолжительностях видов погоды в течение расчетного периода. При этом к периодам хорошей погоды (для целей расчета потерь на корону) относят погоду с влажностью менее 100% и гололед; к периодам влажной погоды - дождь, мокрый снег, туман.

Таблица 4

Удельные потери мощности на корону

Напряжение ВЛ, тип опоры, число и сечение проводов в фазе, мм2

Суммарное сечение проводов в фазе, мм2

Удельные потери мощности на корону, кВт/км, при видах погоды

хорошая

сухой снег

влажная

изморозь

750-5×240

1200

3,9

15,5

55,0

115,0

750-4×600

2400

4,6

17,5

65,0

130,0

500-3×400

1200

2,4

9,1

30,2

79,2

500-8×300

2400

0,1

0,5

1,5

4,5

330-2×400

800

0,8

3,3

11,0

33,5

220ст-1×300

300

0,3

1,5

5,4

16,5

220ст/2-1×300

300

0,3

1,4

5,0

15,4

220жб-1×300

300

0,4

2,0

8,1

24,5

220жб/2-1×300

300

0,4

1,8

6,7

20,5

220-3×500

1500

0,02

0,05

0,27

0,98

154-1×185

185

0,12

0,35

1,20

4,20

154/2-1×185

185

0,09

0,26

0,87

3,06

110ст-1×120

120

0,013

0,04

0,17

0,69

110ст/2-1×120

120

0,008

0,025

0,13

0,47

110жб-1×120

120

0,018

0,06

0,30

1,10

110жб/2-1×120

120

0,01

0,035

0,17

0,61

Примечания

1. Вариант 500-8×300 соответствует ВЛ 500 кВ, построенной в габаритах 1150 кВ, вариант 220-3×500 - ВЛ 220 кВ, построенной в габаритах 500 кВ.

2. Варианты 220/2-1×300, 154/2-1×185 и 110/2-1×120 соответствуют двухцепным ВЛ. Потери во всех случаях приведены в расчете на одну цепь.

3. Индексы "ст" и "жб" обозначают стальные и железобетонные опоры.

4. Для линий на деревянных опорах применяют данные, приведенные в таблице для линий на стальных опорах.

При отсутствии данных о продолжительностях видов погоды в течение расчетного периода потери электроэнергии на корону определяются по таблице 5 в зависимости от региона расположения линии. Распределение субъектов Российской Федерации по регионам приведено в таблице 6.

Таблица 5

Удельные годовые потери электроэнергии на корону

Напряжение ВЛ, кВ, число и сечениепроводов в фазе

Удельные потери электроэнергии на корону, тыс.кВт.ч/км в год, в регионе

1

2

3

4

5

6

7

750-5×240

193,3

176,6

163,8

144,6

130,6

115,1

153,6

750-4×600

222,5

203,9

189,8

167,2

151,0

133,2

177,3

500-3×400

130,3

116,8

106,0

93,2

84,2

74,2

103,4

500-8×300

6,6

5,8

5,2

4,6

4,1

3,5

5,1

330-2×400

50,1

44,3

39,9

35,2

32,1

27,5

39,8

220ст-1×300

19,4

16,8

14,8

13,3

12,2

10,4

15,3

220ст/2-1×300

18,0

15,6

13,8

12,4

11,8

9,7

14,3

220жб-1×300

28,1

24,4

21,5

19,3

17,7

15,1

22,2

220жб/2-1×300

24,0

20,7

18,3

16,5

15,1

12,9

19,0

220-3×500

1,3

1,1

1,0

0,9

0,8

0,7

1,0

154-1×185

7,2

6,3

5,5

4,9

4,6

3,9

5,7

154/2-1×185

5,2

4,6

4,0

3,6

3,4

2,9

4,2

110ст-1×120

1,07

0,92

0,80

0,72

0,66

0,55

0,85

110ст/2-1×120

0,71

0,61

0,54

0,48

0,44

0,37

0,57

110жб-1×120

1,71

1,46

1,28

1,15

1,06

0,88

1,36

110жб/2-1×120

0,93

0,8

0,7

0,63

0,57

0,48

0,74

Примечания

1. Значения потерь, приведенные в таблицах 4 и 5, соответствуют году с числом дней 365. При расчете потерь в високосном году применяется коэффициент к=366/365.

2. Для линий на деревянных опорах применяют данные, приведенные в таблице для линий на стальных опорах.

При расчете потерь электроэнергии на корону на линиях с сечениями, отличающимися от приведенных в таблицах 4 и 5, значения таблиц 4 и 5, умножаются на отношение Fт/Fф, где Fт - суммарное сечение проводов фазы, приведенное в таблицах 4 и 5; Fф - фактическое сечение проводов линии.

Таблица 6

Распределение субъектов Российской Федерации по регионам

№ регио­на

Территориальные образования, входящие в регион

1

Республика Саха (Якутия), Хабаровский край

Области: Камчатская, Магаданская, Сахалинская.

2

Республики: Карелия, Коми

Области: Архангельская, Калининградская, Мурманская

3

Области: Вологодская, Ленинградская, Новгородская, Псковская

4

Республики: Марий Эл, Мордовия, Татарстан, Удмуртская, Чувашская

Области: Белгородская, Брянская, Владимирская, Воронежская, Ивановская, Калужская, Кировская, Костромская, Курская, Липецкая, Московская, Нижегородская, Орловская, Пензенская, Пермская, Рязанская, Самарская, Саратовская, Смоленская, Тамбовская, Тверская, Тульская, Ульяновская, Ярославская

5

Республики: Дагестан, Ингушетия, Кабардино-Балкария, Карачаево-Черкесская, Калмыкия, Северная Осетия-Алания, Чеченская

Края: Краснодарский, Ставропольский

Области: Астраханская, Волгоградская, Ростовская

6

Республика Башкортостан

Области: Курганская, Оренбургская, Челябинская

7

Республики: Бурятия, Хакасия, Алтай

Края: Алтайский, Красноярский, Приморский

Области: Амурская, Иркутская, Кемеровская, Новосибирская, Омская, Свердловская, Томская, Тюменская, Читинская

Влияние рабочего напряжения линии на потери на корону учитывается умножением данных, приведенных в таблицах 4 и 5, на коэффициент, определяемый по формуле:

,                                                                                    (4)

где Uотн - отношение рабочего напряжения линии к его номинальному значению.

В случае отрицательного значения коэффициента, определяемого по формуле (4), (при низких рабочих напряжениях) значение коэффициента принимается равным нулю.

8. Потери электроэнергии от токов утечки по изоляторам воздушных линий определяются на основе данных об удельных потерях мощности, приведенных в таблице 7, и о продолжительностях видов погоды в течение расчетного периода.

По влиянию на токи утечки виды погоды объединяются в 3 группы: 1 группа - хорошая погода с влажностью менее 90%, сухой снег, изморозь, гололед; 2 группа - дождь, мокрый снег, роса, хорошая погода с влажностью 90% и более; 3 группа - туман.

Таблица 7

Удельные потери мощности от токов утечки по изоляторам ВЛ

Группа погоды

Удельные потери мощности от токов утечки по изоляторам, кВт/км, на ВЛ напряжением, кВ

6

10

15

20

35

110

154

220

330

500

750

1

0,011

0,017

0,025

0,033

0,035

0,055

0,063

0,069

0,103

0,156

0,235

2

0,094

0,153

0,227

0,302

0,324

0,510

0,587

0,637

0,953

1,440

2,160

3

0,154

0,255

0,376

0,507

0,543

0,850

0,978

1,061

1,587

2,400

3,600

При отсутствии данных о продолжительностях различных погодных условий годовые потери электроэнергии от токов утечки по изоляторам ВЛ принимаются по данным таблицы 8.

Таблица 8

Удельные годовые потери электроэнергии от токов утечки по изоляторам ВЛ

Номер региона

Удельные потери электроэнергии от токов утечки по изоляторам ВЛ, тыс.кВт ч/км в год, при напряжении, кВ

6

10

15

20

35

110

154

220

330

500

750

1

2

3

4

5

6

7

8

9

10

11

12

1

0,21

0,33

0,48

0,64

0,69

1,08

1,24

1,35

2,01

3,05

4,58

2

0,22

0,35

0,52

0,68

0,73

1,15

1,32

1,44

2,15

3,25

4,87

3

0,28

0,45

0,67

0,88

0,95

1,49

1,71

1,86

2,78

4,20

6,31

4

0,31

0,51

0,75

1,00

1,07

1,68

1,93

2,10

3,14

4,75

7,13

5

0,27

0,44

0,65

0,87

0,92

1,46

1,68

1,82

2,72

4,11

6,18

6

0,22

0,35

0,52

0,68

0,73

1,15

1,32

1,44

2,15

3,25

4,87

7

0,16

0,26

0,39

0,51

0,55

0,86

0,99

1,08

1,61

2,43

3,66

Примечание - Значения потерь, приведенные в таблице, соответствуют году с числом дней 365. При расчете потерь в високосном году применяется коэффициент к = 366/365.

9. Расход электроэнергии на плавку гололеда определяется на основе приборов учета, установленных на устройствах плавки гололеда. При отсутствии таких приборов учета допускается использование данных таблицы 9 в зависимости от района расположения ВЛ по гололеду.

Таблица 9

Удельный расход электроэнергии на плавку гололеда

Число проводов в фазе и сечение, мм2

Суммарное сечение проводов в фазе, мм2

Удельный расход электроэнергии на плавку гололеда, тыс.кВт.ч/км в год, в районе по гололеду

1

2

3

4

4×600

2400

0,171

0,236

0,300

0,360

8×300

2400

0,280

0,381

0,479

0,571

3×500

1500

0,122

0,167

0,212

0,253

5×240

1200

0,164

0,223

0,280

0,336

3×400

1200

0,114

0,156

0,197

0,237

2×400

800

0,076

0,104

0,131

0,158

2×300

600

0,070

0,095

0,120

0,143

1×330

330

0,036

0,050

0,062

0,074

1×300

300

0,035

0,047

0,060

0,071

1×240

240

0,033

0,046

0,056

0,067

1×185

185

0,030

0,041

0,051

0,061

1×150

150

0,028

0,039

0,053

0,064

1×120

120

0,027

0,037

0,046

0,054

1×95 и менее

95

0,024

0,031

0,038

0,044

Примечания:

1. Удельный расход приведен в расчете на три фазы.

2. Значения расхода, приведенные в таблице, соответствуют году с числом дней 365. При расчете расхода в високосном году применяется коэффициент к = 366/365.

10. Потери электроэнергии в изоляции силовых кабелей принимаются в соответствии с данными заводов-изготовителей оборудования. При отсутствии данных завода-изготовителя расчетные потери принимаются в соответствии с таблицей 10.

Таблица 10

Удельные потери электроэнергии в изоляции кабелей

Сечение, мм2

Удельные потери электроэнергии в изоляции кабеля, тыс.кВт.ч/км в год, при номинальном напряжении, кВ

6

10

20

35

110

220

10

0,14

0,33

-

-

-

-

16

0,17

0,37

-

-

-

-

25

0,26

0,55

1,18

-

-

-

35

0,29

0,68

1,32

-

-

-

50

0,33

0,75

1,52

-

-

-

70

0,42

0,86

1,72

4,04

-

-

95

0,55

0,99

1,92

4,45

-

-

120

0,60

1,08

2,05

4,66

26,6

-

150

0,67

1,17

2,25

5,26

27,0

-

185

0,74

1,28

2,44

5,46

29,1

-

240

0,83

1,67

2,80

7,12

32,4

-

300

-

-

-

-

35,2

80,0

400

-

-

-

-

37,4

90,0

500

-

-

-

-

44,4

100,0

625

-

-

-

-

49,3

108,0

800

-

-

-

-

58,2

120,0

Примечание - Значения потерь, приведенные в таблице, соответствуют году с числом дней 365. При расчете потерь в високосном году применяется коэффициент к=366/365.

11. Расход электроэнергии СН подстанций определяется на основе приборов учета, установленных на высшей стороне трансформаторов собственных нужд (далее - ТСН). При установке прибора учета на низшей стороне ТСН потери электроэнергии в ТСН, рассчитанные в соответствии с настоящей Инструкцией, добавляются к показанию счетчика.

В случае отсутствия приборов учета электроэнергии на СН ПС 106/0,4 кВ удельный расход электроэнергии (кявт.ч/кВ·А) определяется по результатам энергетического обследования.

II. Расчет активных сопротивлений линий, шинопроводов, обмоток трансформаторов (автотрансформаторов)

12. Активное сопротивление ВЛ определяется в соответствии с паспортными данными оборудования по формуле:

, Ом,                                                                 (5)

где r020 - удельное активное сопротивление на 1 км провода при его температуре 20°С, Ом/км;

L - длина линии, км;

Θ - средняя температура провода за базовый период, °С;

ц - количество параллельных цепей, шт.

В формуле (5) принимается, что при средней загрузке линий ниже экономической плотности тока, температура провода приблизительно равна температуре воздуха.

При отсутствии данных о температуре провода, она принимается равной 20°С.

13. Активное сопротивление КЛ определяется в соответствии с паспортными данными по формуле:

, Ом,                                                                                                     (6)

где r0 - удельное активное сопротивление на 1 км кабеля, Ом/км;

L - длина кабеля, км;

ц - количество параллельных цепей, шт.

14. Активное сопротивление шинопровода определяется по формуле:

, Ом,                                                                              (7)

где ρ - удельное сопротивление шинопровода, Ом·мм2/м;

l - длина шинопровода, м;

s - сечение шинопровода, мм2;

kи,с - температурный коэффициент изменения сопротивления (для меди и алюминия kи,с = 0,004);

Θ - средняя температура за базовый период, при которой определяют сопротивление шинопровода, °С.

При отсутствии данных о температуре шинопровода, она принимается равной 20°С.

Если в паспортных данных шинопровода указано значение удельного активного сопротивления на 1 км шинопровода, то активное сопротивление определяется произведением значений удельного активного сопротивления и длины шинопровода.

15. Активное сопротивление двухобмоточного трехфазного трансформатора определяется в соответствии с паспортными данными оборудования по формуле:

, Ом/фазу,                                                                        (8)

где ΔРКЗ - потери мощности короткого замыкания, кВт;

UВ ном - номинальное напряжение высшей обмотки, кВ;

Sном - номинальная мощность трехфазного трансформатора, МВ·А.

В случае двухобмоточных однофазных трансформаторов, образующих трехфазную группу, активное сопротивление определяется по формуле:

, Ом/фазу,                                                                        (9)

где Sном тр - номинальная мощность двухобмоточного однофазного трансформатора, МВ·А.

16. Активные сопротивления трехобмоточного трехфазного трансформатора (автотрансформатора) при равных мощностях обмоток высшего, среднего и низшего напряжений определяются в соответствии с паспортными данными оборудования по формуле:

, Ом;                                  

, Ом;                                   (10)

, Ом;                                 

где ΔРКЗ В-с, ΔРКЗ В-Н, ΔРКЗ С-Н - потери мощности короткого замыкания для пар обмоток, кВт;

Sном - номинальная мощность трехобмоточного трехфазного трансформатора, МВ·А.

Активные сопротивления трехобмоточного трехфазного трансформатора с обмотками различной номинальной мощности, определяются в соответствии с паспортными данными оборудования по формуле:

, Ом;                           

, Ом;                            (11)

, Ом;                           

где α - коэффициент, учитывающий приведение потерь короткого замыкания для трансформаторов с обмотками различной номинальной мощности к мощности обмотки высшего напряжения:

, о.е.,                                                                                                   (12)

где UВ ном, UС ном - номинальное напряжение высшей и средней обмотки, кВ.

Если паспортные данные оборудования содержат одно из трех значений потерь короткого замыкания, то расчет активных сопротивлений выполняется с использованием "сквозного активного сопротивления" с последующим его разделением по ветвям схемы замещения в пропорциях, определяемых отношениями номинальных мощностей обмоток, представленных в таблице 11.

Сквозное активное сопротивление определяется по формуле:

, Ом,                                                                               (13)

где ΔРКЗ - потери короткого замыкания при номинальной нагрузке обмотки высшего напряжения, кВт.

Таблица 11

Соотношение мощностей и активных сопротивлений трехобмоточного трансформатора

Мощность обмоток трансформатора по отношению к номинальной, %

Активное сопротивление, Ом

SB

SС

SН

RТ·В

RТ·С

RТ·Н

100

100

100

0,5 Rскв

0,5 Rскв

0,5 Rскв

100

67

100

0,5 Rскв

0,75 Rскв

0,5 Rскв

100

100

67

0,5 Rскв

0,5 Rскв

0,75 Rскв

100

67

67

0,55 Rскв

0,82 Rскв

0,82 Rскв

100

100

50

0,5 Rскв

0,5 Rскв

Rскв

100

50

50

0,5 Rскв

Rскв

Rскв

100

100

33

0,5 Rскв

0,5 Rскв

1,5 Rскв

17. Активные сопротивления трехобмоточных однофазных трансформаторов, образующих трехфазную группу, определяются по формуле:

, Ом/фазу,                                                                        (14)

где Sном тр - номинальная мощность трехобмоточного однофазного трансформатора из группы, МВ·А.

18. Активные сопротивления трансформатора с расщепленной обмоткой определяются для каждой обмотки отдельно в соответствии с паспортными данными по формуле:

, Ом,                                                                            

.                                                                                               (15)

III. Методы расчета нагрузочных потерь электроэнергии

19. Нагрузочные потери электроэнергии включают в себя потери в:

воздушных и кабельных линиях;

трансформаторах (автотрансформаторах);

шинопроводах;

токоограничивающих реакторах.

Методы расчета нагрузочных потерь электроэнергии в отдельных элементах электрических сетей

20. Нагрузочные потери электроэнергии в каждом элементе электрических сетей могут быть рассчитаны одним из двух методов в зависимости от информационной обеспеченности (методы представлены в порядке понижения точности получаемых результатов расчета):

1) оперативных расчетов;

2) средних нагрузок.

21. Метод оперативных расчетов

Нагрузочные потери электроэнергии в ВЛ, КЛ, шинопроводе или двухобмоточном трансформаторе за базовый период определяются по формуле:

, кВт.ч        (16)

где R - активное сопротивление ВЛ, КЛ, шинопровода или двухобмоточного трансформатора, Ом;

Ij - токовая нагрузка ВЛ, КЛ, шинопровода или двухобмоточного трансформатора, принимаемая на интервале времени Δtj неизменной, А;

Рj, Qj - значения активной и реактивной мощности ВЛ, КЛ, шинопровода или двухобмоточного трансформатора, принимаемые на интервале времени Δtj неизменными, МВт, Мвар, соответственно;

Uj - значение напряжения на ВЛ, КЛ, шинопровода или двухобмоточного трансформатора, принятое на интервале Δtj неизменным, кВ;

Δtj - интервал времени, в течение которого нагрузка элемента сети с сопротивлением R принимается неизменной;

М - количество интервалов времени Δtj в базовом периоде.

Нагрузочные потери электроэнергии в автотрансформаторе (трехобмоточном трансформаторе) за базовый период определяются по формуле:

, кВт.ч,                                              (17)

где РАТ(ТР)Вj, РАТ(ТР)Сj, РАТ(ТР)Нj, QАТ(ТР)Вj, QАТ(ТР)Сj, QАТ(ТР)Нj, IАТ(ТР)Вj, IАТ(ТР)Сj, IАТ(ТР)Нj - значения активной и реактивной мощностей, токовых нагрузок по обмоткам автотрансформатора (трехобмоточного трансформатора), принимаемые на интервале Δtj неизменными, МВт, Мвар, А, соответственно;

UАТ(ТР)Вj, UАТ(ТР)Сj, UАТ(ТР)Нj - значения напряжения по высшей, средней и низшей обмоткам автотрансформатора (трехобмоточного трансформатора) на интервале времени Δtj, кВ;

RАТ(ТР)В, RАТ(ТР)С, RАТ(ТР)Н - активные сопротивления обмоток автотрансформатора (трехобмоточного трансформатора), Ом.

При отсутствии измерений на низкой стороне автотрансформаторов на каждом интервале времени Δtj расчетного периода Т допускается выполнять расчет потерь электроэнергии по данным обмоток высшего и среднего напряжения.

Нагрузочные потери электроэнергии в токоограничивающем реакторе за базовый период определяются по формуле:

, кВт.ч,                                                  (18)

где ΔРн ТОР - значение потерь активной мощности в фазе реактора при его номинальном токе, кВт;

IН - значение номинального тока, А;

Ij - значение рабочего тока, принимаемого на интервале Δtj неизменными, А.

22. Метод средних нагрузок

Нагрузочные потери электроэнергии в ВЛ, КЛ, шинопроводе или двухобмоточном трансформаторе за базовый период определяются по формуле:

 , кВт.ч,                                                                                    (19)

где ΔРср - потери мощности в ВЛ, КЛ, шинопроводе или двухобмоточном трансформаторе при средних за базовый период нагрузках, кВт, определяются по формуле (22);

k2ф - квадрат коэффициента формы графика за базовый период, о.е.;

kk - коэффициент, учитывающий различие конфигураций графиков активной и реактивной нагрузки (принимается равным 0,99), о.е.;

Т - число часов в базовом периоде, ч.

Коэффициент формы графика определяется по формуле:

, о.е.,                                                                                                     (20)

где kз - коэффициент заполнения графика определяется по формуле:

, о.е.,                                                                              (21)

где Wо - отпуск электроэнергии в сеть за время Т, кВт.ч;

Tmax - число часов использования наибольшей нагрузки сети.

При отсутствии данных о коэффициенте заполнения графика нагрузки, допускается kз = 0,5.

Нагрузочные потери мощности при средних за базовый период нагрузках в ВЛ, КЛ, шинопроводе или двухобмоточном трансформаторе определяются по формуле:

, кВт,                       (22)

где рср, Qср - средние значения активной и реактивной мощности за базовый период Т, МВт, Мвар;

tgφ - коэффициент реактивной мощности, о.е.;

Uср - среднее напряжение элемента за базовый период Т, кВ;

Iср - среднее значение токовой нагрузки, А, определяется по формуле (23);

R - активное сопротивление ВЛ, КЛ, шинопровода или двухобмоточного трансформатора, Ом.

Средняя нагрузка определяется по формуле:

, кВт;                                                                                                        

, А,                                                                                     (23)

где WТ - электроэнергия в узле за базовый период Т, кВт.ч.

Нагрузочные потери электроэнергии в автотрансформаторе (трехобмоточном трансформаторе) за базовый период определяются по формуле:

, кВт.ч,                                                                          (24)

где ΔРср - потери мощности в автотрансформаторе (трехобмоточном трансформаторе) при средних за базовый период нагрузках, кВт, определяются по формуле (25).

Коэффициент формы графика определяется по формулам (20-21).

Нагрузочные потери мощности при средних за базовый период нагрузках в автотрансформаторах (трехобмоточных трансформаторах) определяются по формуле:

 

 

, кВт, (25)

где РСР АТ(ТР)В, РСР АТ(ТР)С, РСР АТ(ТР)Н, QСР АТ(ТР)В, QСР АТ(ТР)С, QСР АТ(ТР)Н, IСР АТ(ТР)В, IСР АТ(ТР)С, IСР АТ(ТР)Н - средние значения активной и реактивной мощностей, токовых нагрузок за базовый период Т по обмоткам автотрансформатора (трехобмоточного трансформатора), МВт, Мвар, А, соответственно;

UСР АТ(ТР)В, UСР АТ(ТР)С, UСР АТ(ТР)Н - средние значения напряжения за базовый период Т по высшей, средней и низшей обмоткам автотрансформатора (трехобмоточного трансформатора), кВ;

tgφ - коэффициент реактивной мощности, о.е.;

RАТ(ТР)В, RАТ(ТР)С, RАТ(ТР)Н - активные сопротивления обмоток автотрансформатора, Ом.

Средняя нагрузка определяется по формуле (23) для каждой обмотки отдельно.

При отсутствии измерений на низкой стороне автотрансформаторов за базовый период Т допускается выполнять расчет потерь электроэнергии по данным обмоток высшего и среднего напряжения.

Нагрузочные потери мощности в токоограничивающем реакторе с использованием среднего рабочего тока за базовый период Т:

, кВт.ч,                                                                       (26)

где ΔРн ТОР ср - потери мощности в токоограничивающем реакторе при средних за базовый период нагрузках узлов, кВт, определяются по формуле (27).

Коэффициент формы графика определяется по формулам (20-21).

Нагрузочные потери мощности при средних за базовый период нагрузках в токоограничивающем реакторе определяются по формуле:

, кВт,                                                                        (27)

где Iср - значение среднего рабочего тока в базовом периоде Т, А.

Средняя нагрузка определяется по формуле (23).

Методы расчета нагрузочных потерь электроэнергии в электрической сети в целом

23. Нагрузочные потери электроэнергии в электрической сети в целом за Т часов (Д дней) могут быть рассчитаны одним из пяти следующих методов в зависимости от объема имеющейся информации о схемах и нагрузках сетей (методы расположены в порядке снижения точности расчета):

1) оперативных расчетов;

2) расчетных суток;

3) средних нагрузок;

4) числа часов наибольших потерь мощности;

5) оценки потерь по обобщенной информации о схемах и нагрузках сети.

Потери мощности в сети при использовании для расчета потерь электроэнергии методов 1-4 рассчитываются на основе заданной схемы сети и нагрузок ее элементов, определенных с помощью измерений или с помощью расчета нагрузок элементов электрической сети в соответствии с законами электротехники.

Потери электроэнергии по методам 2-4 могут рассчитываться за каждый месяц расчетного периода с учетом схемы сети, соответствующей данному месяцу. Допускается рассчитывать потери за расчетные интервалы, включающие в себя несколько месяцев, схемы сетей в которых могут рассматриваться как неизменные. Потери электроэнергии за базовый период определяют как сумму потерь, рассчитанных для входящих в базовый период месяцев (расчетных интервалов).

24. Метод оперативных расчетов состоит в расчете потерь электроэнергии по формуле:

, кВт.ч,                                                                 (28)

где № - число элементов сети;

Δtij - интервал времени, в течение которого токовую нагрузку Iij i-го элемента сети с сопротивлением Riпринимают неизменной;

m - число интервалов времени.

Токовые нагрузки элементов сети определяются на основе данных диспетчерских ведомостей, оперативных измерительных комплексов и автоматизированных систем учета электрической энергии.

25. Метод расчетных суток состоит в расчете потерь электроэнергии по формуле:

, кВт.ч,                                                                             (29)

где ΔWсут - потери электроэнергии за сутки расчетного месяца со среднесуточным отпуском электроэнергии в сеть ΔWср.сут и конфигурацией графиков нагрузки в узлах, соответствующей контрольным замерам, кВт.ч;

kл - коэффициент, учитывающий влияние потерь в арматуре ВЛ и принимаемый равным 1,02 для линий напряжением 110 кВ и выше и равным 1,0 для линий более низких напряжений;

k2ф.м - квадрат коэффициента формы графика суточных отпусков электроэнергии в сеть (график с числом значений, равным числу дней в месяце контрольных замеров);

Дэкв j - эквивалентное число дней в j-м расчетном интервале, определяемое по формуле:

,                                                                                     (30)

где Wм i - отпуск электроэнергии в сеть в i-м месяце с числом дней Дм i, кВт.ч;

Wм.р - то же, в базовом месяце, кВт.ч;

j - число месяцев в j-м расчетном интервале.

При расчете потерь электроэнергии за месяц Дэкв j = Дм i.

Потери электроэнергии за расчетные сутки ΔWсут определяются как сумма потерь мощности, рассчитанная для каждого часового интервала расчетных суток.

Потери электроэнергии в базовом периоде определяются как сумма потерь во всех расчетных интервалах года. Допускается определять годовые потери электроэнергии на основе расчета ΔWсут для зимнего дня контрольных замеров, принимая в формуле (30) №j = 12.

Коэффициент k2ф.м определяется по формуле:

,                                                                                   (31)

где Wi - отпуск электроэнергии в сеть за i-й день месяца, кВт.ч;

Дм - число дней в месяце.

При отсутствии данных об отпуске электроэнергии в сеть за каждые сутки месяца коэффициент k2ф.м определяется по формуле:

,                                                                                          (32)

где Др, Дн.р - число рабочих и нерабочих дней в месяце (Дм = Др + Дн.р);

kw - отношение значений энергии, потребляемой в средний нерабочий и средний рабочий дни kw = Wн.р/Wр.

26. Метод средних нагрузок состоит в расчете потерь электроэнергии по формуле:

, кВт.ч,                                                                                  (33)

где ΔРср - потери мощности в сети при средних за расчетный интервал нагрузках узлов, кВт;

k2ф - квадрат коэффициента формы графика суммарной нагрузки сети за расчетный интервал;

kk - коэффициент, учитывающий различие конфигураций графиков активной и реактивной нагрузки различных ветвей сети;

Тj - продолжительность j-го расчетного интервала, ч.

Коэффициент формы графика суммарной нагрузки сети за расчетный интервал определяется по формуле:

,                                                                                           (34)

где Рi - значение нагрузки на i-й ступени графика продолжительностью Δti, кВт;

m - число ступеней графика на расчетном интервале;

Рср - средняя нагрузка сети за расчетный интервал, кВт.

Коэффициент kk в формуле (33) принимается равным 0,99. Для сетей 6-20 кВ и радиальных линий 35 кВ вместо значений Рi и Рср в формуле (34) могут использоваться значения тока головного участка Ii и Iср. В этом случае коэффициент kk принимают равным 1,02.

Допускается определять коэффициент формы графика за расчетный интервал по формуле:

,                                                                                                     (35)

где k2ф.с - квадрат коэффициента формы суточного графика дня контрольных замеров, рассчитанный по формуле (34);

k2ф.№ - квадрат коэффициента формы графика месячных отпусков электроэнергии в сеть (график с числом значений, равным числу месяцев в расчетном интервале), рассчитываемый по формуле:

,                                                                                 (36)

где Wм i - отпуск электроэнергии в сеть за i-й месяц расчетного интервала, кВт.ч;

Wср.мес - среднемесячный отпуск электроэнергии в сеть за месяцы расчетного интервала, кВт.ч .

При расчете потерь за месяц k2ф.№ = 1.

При отсутствии графика нагрузки значение k2ф определяется по формуле:

.                                                                                                            (37)

Коэффициент заполнения графика суммарной нагрузки сети kз определяется по формуле:

,                                                                                      (38)

где Wо - отпуск электроэнергии в сеть за время Т, кВт.ч;

Тmax - число часов использования наибольшей нагрузки сети.

Средняя нагрузка i-го узла определяется по формуле:

, кВт,                                                                                                         (39)

где Wi - энергия, потребленная (генерированная) в i-м узле за время Т, кВт.ч.

27. Метод числа часов наибольших потерь мощности состоит в расчете потерь электроэнергии по формуле:

, кВт.ч,                                                                                 (40)

где ΔPmax - потери мощности в режиме наибольшей нагрузки сети, кВт;

τо - относительное число часов наибольших потерь мощности, определенное по графику суммарной нагрузки сети за расчетный интервал.

Относительное число часов наибольших потерь мощности определяется по формуле:

,                                                                                         (41)

где Pmax - наибольшее значение из m значений Pi в расчетном интервале, кВт.

Коэффициент kk в формуле (40) принимается равным 1,03. Для сетей 6-20 кВ и радиальных линий 35 кВ вместо значений Pi и Pmax в формуле (41) могут использоваться значения тока головного участка Ii и Imax. В этом случае коэффициент kk принимается равным 1,0.

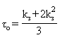
Допускается определять относительное число часов наибольших потерь мощности за расчетный интервал по формуле:

                                                                                                               (42)

где τc - относительное число часов наибольших потерь мощности, рассчитанное по формуле (41) для суточного графика дня контрольных замеров.

Значения τм и τ рассчитывается по формулам:

;                                                                                                     (43)

,                                                                                        (44)

где Wм.р - отпуск электроэнергии в сеть в расчетном месяце, кВт.

При расчете потерь за месяц τ = 1.

При отсутствии графика нагрузки значение τо определяется по формуле:

.                                                                                                            (45)

28. Метод оценки потерь по обобщенной информации о схемах и нагрузках сети применяется для расчета потерь электроэнергии в электрических сетях напряжением 0,4 кВ.

Нагрузочные потери электроэнергии в сети 0,4 кВ рассчитываются следующими методами:

оценки потерь электроэнергии на основе зависимости потерь от обобщенной информации о схемах и нагрузках сети;

расчета потерь электроэнергии в линиях 0,4 кВ в зависимости от величины падения напряжения;

поэлементного расчета потерь мощности и электроэнергии с использованием схемы электрической сети и ее режимных параметров.

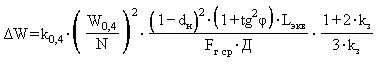
Потери электроэнергии в № линиях 0,4 кВ со средним сечением головных участков Fг ср, мм2, отпуском электроэнергии в линии W0,4, тыс.кВт.ч, за период Д, дней, рассчитываются в соответствии с методом оценки потерь электроэнергии на основе зависимости потерь от обобщенной информации о схемах и нагрузках сети (*) по формуле:

, тыс.кВт.ч,                (46)

где Lэкв - эквивалентная суммарная длина линий, км;

tgφ - средний коэффициент реактивной мощности;

k0,4 - коэффициент, учитывающий характер распределения нагрузок по длине линии и неодинаковость нагрузок фаз;

dн - доля электроэнергии, потребляемая на расстоянии 1-2 пролета от ТП, по отношению к суммарному отпуску в сеть 0,4 кВ.

* Примечания:

Метод оценки потерь электроэнергии на основе зависимости потерь от обобщенной информации о схемах и нагрузках сети может применяться для расчета потерь электроэнергии в совокупности линий общим количеством не менее суммарного количества линий, отходящих от 100 шт. ТП 6-20/0,4 кВ или более. Для электрических сетей меньшего объема применяются:

- метод поэлементного расчета потерь мощности и электроэнергии с использованием схемы электрической сети и ее режимных параметров (пункты 21, 22).

- метод расчета потерь электроэнергии в линиях 0,4 кВ в зависимости от величины падения напряжения по формулам (51-53).

Эквивалентная суммарная длина № линий определяется по формуле (*):

, км,                                                                             (47)

где Lм - суммарная длина магистралей № линий 0,4 кВ, км;

L2-3 - суммарная длина двухфазных и трехфазных ответвлений № линий 0,4 кВ, км;

L1 - суммарная длина однофазных ответвлений № линий 0,4 кВ, км.

* Примечания:

1. При определении магистрали одной линии 0,4 кВ рассчитывается наибольшее расстояние от шин 0,4 кВ распределительного трансформатора 6-20/0,4 кВ до наиболее удаленного потребителя присоединенного к трехфазной или двухфазной линии.

2. При определении эквивалентной длины линии в длину ответвления не включаются электрические сети, относящиеся к общедомовому имуществу многоквартирных жилых домов (в том числе внутридомовые электрические сети), а также ответвления к жилым домам, если граница балансовой принадлежности (эксплуатационной ответственности) находится на опоре.

При наличии алюминиевых, стальных и медных проводов в магистрали или ответвлениях в формулу (47) подставляют длины линий, определяемые по формуле:

, км,                                                                                           (48)

где Lа, Lс, Lмед - длины алюминиевых, стальных и медных проводов, соответственно, км.

Коэффициент k0,4 определяют по формуле:

,                                                   (49)

где dр - доля энергии, отпускаемой населению по отношению к суммарному отпуску в сеть 0,4 кВ, о.е.;

ku - коэффициент, принимаемый равным 1 для линии 400/230 В и равным 3 для линии 220/127 В.

Коэффициент Fг ср определяется по формуле:

, мм2,                                                                                       (50)

где Fri - сечение головного участка i-ой линии, мм2;

Lri - длина головного участка i-ой линии, км.

При отсутствии данных о коэффициенте заполнения графика и (или) коэффициенте реактивной мощности, принимается kз = 0,5; tg φ = 0,6.

При отсутствии учета электроэнергии, отпускаемой в линии 0,4 кВ, ее значение определяется, вычитанием из энергии, отпущенной в сеть 6-20 кВ, потерь в оборудовании 6-20 кВ и энергии, отпущенной в трансформаторные подстанции (далее - ТП) 6-20/0,4 кВ, энергии, отпущенной потребителям, подключенным к шинам ТП и линии 0,4 кВ, находящиеся на балансе потребителей.

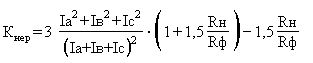
Для реализации метода расчета потерь электроэнергии в линиях 0,4 кВ в зависимости от величины падения напряжения производятся измерения уровней фазных напряжений на шинах ТП и в электрически удаленной точке магистральной линии в режиме максимальной нагрузки. По данным измерений определяется абсолютная и относительная величина потерь напряжения ΔU в процентах по отношению к среднему фазному напряжению на шинах 0,4 кВ ТП 6-20/0,4 кВ.

Потери электроэнергии в линии напряжением 0,4 кВ (от % отпуска электроэнергии в сеть) определяются по формуле:

,                                                                                         (51)

где ΔU - потеря напряжения в максимум нагрузки сети от шин ТП до наиболее электрически удаленного электроприемника, %;

Кнер - коэффициент, учитывающий неравномерность распределения нагрузок по фазам.

Если измеренные уровни фазных напряжений на шинах ТП различны, то при определении ΔU напряжение на шинах ТП принимается как среднее арифметическое из трех измеренных значений. Если в электрически удаленной точке магистральной линии в режиме максимальной нагрузки фазное напряжение измерялось на трехфазном вводе и получены все фазные напряжения, в качестве расчетного принимается минимальное из трех измеренных значений.

Коэффициент Кнер определяется по формуле:

,                                                     (52)

где Ia, Iв, Ic - измеренные токовые нагрузки фаз;

Rн/Rф - отношение сопротивлении нулевого и фазного проводов.

При отсутствии данных о токовых нагрузках фаз следует принимать:

для линий с Rн/Rф = 1  Кнер = 1,13;

для линий с Rн/Rф = 2  Кнер = 1,2.

Отношение τ/Тмакс принимают в соответствии со следующими данными:

Тмакс ч

2000

3000

4000

5000

6000

τ/Тмакс

0,46

0,52

0,6

0,72

0,77

Относительные потери электроэнергии, %, в К линиях 0,4 кВ определяются по формуле:

,                                                                                  (53)

где ΔWi% - относительные потери электроэнергии в i-й линии, определенные по формуле (53);

Ii - максимальная нагрузка головного участка i-й линии.

При необходимости точного расчета потерь электроэнергии в электрических сетях 0,4 кВ и при наличии достаточного количества исходной информации, а также при расчете потерь электроэнергии в отдельных линиях 0,4 кВ рекомендуется использовать методы поэлементного расчета потерь мощности и электроэнергии с использованием схемы электрической сети и ее режимных параметров (пункты 21, 22).

Расчеты потерь электроэнергии в линиях 0,4 кВ в зависимости от величины падения напряжении и поэлементные расчеты потерь мощности и электроэнергии с использованием схемы электрической сети и ее режимных параметров допускается проводить по случайной выборке распределительных линий 0,4 кВ, питающихся от не менее чем 20% суммарного количества ТП 6-20/0,4 кВ, если это количество превышает 100 шт.

IV. Порядок расчета потерь, обусловленных допустимыми погрешностями системы учета электроэнергии

Абсолютные потери электроэнергии (тыс.кВт.ч), обусловленные допустимыми погрешностями системы учета электроэнергии (ΔWпогр.Б), определяются как предельное значение величины допустимого небаланса электроэнергии в целом по электрической сети с учетом данных за базовый период по формуле:

,                    (54)

где δij) - погрешность измерительного канала принятой (отданной) активной электроэнергии по электрической сети, %;

Wi(Wj) - прием (отдача) электроэнергии, зафиксированные измерительными каналами активной электроэнергии по электрической сети, тыс.кВт.ч;

№ - количество точек учета, фиксирующих прием электроэнергии, шт.;

m - количество точек учета, фиксирующих отдачу электроэнергии, в том числе крупным потребителям, шт.;

k3 - количество точек учета трехфазных потребителей (за минусом, учтенных в "m"), шт.;

k1 - количество точек учета однофазных потребителей (за минусом, учтенных в "m"), шт.;

W3 - потребление электроэнергии трехфазными потребителями (за минусом, учтенных в "m"), тыс.кВт.ч;

W1 - потребление электроэнергии однофазными потребителями (за минусом, учтенных в "m"), тыс.кВт.ч.

Относительные потери электроэнергии, обусловленные допустимыми погрешностями системы учета электроэнергии, для ТСО в базовом периоде равны:

,                                                                                      (55)

где Wос.Б - отпуск электроэнергии в сеть в целом по электрической сети за базовый период.

Относительные потери электроэнергии, обусловленные допустимыми погрешностями системы учета электроэнергии, для ФСК и МСК в базовом периоде равны:

,                                                                                      (56)

где Wотп.Б - отпуск электроэнергии из сети в целом по электрической сети за базовый период.

Погрешность измерительного канала активной электроэнергии определяется по формуле:

,                                                                            (57)

где δСЧ, δТТ, δТН - основные допустимые погрешности счетчиков, трансформаторов тока, трансформаторов напряжения при нормальных условиях (принимаются по значению классов точности), %;

δЛ - предел допустимых потерь напряжения в линиях присоединения счетчиков к ТН, %.

Потери электроэнергии, обусловленные допустимыми погрешностями системы учета электроэнергии, по уровням напряжения распределяются пропорционально отпуску в сеть по уровням напряжения как в базовом, так и в регулируемом периодах.

В случае если в базовом году технологические потери электроэнергии превышают фактические (отчетные) потери электроэнергии, то в регулируемом году потери электроэнергии, обусловленные допустимыми погрешностями системы учета, принимаются равными нулю.

Приложение 2

к Инструкции по организации в

Министерстве энергетики Российской

Федерации работы по расчету и

обоснованию нормативов

технологических потерь

электроэнергии при ее передаче по

электрическим сетям

Номенклатура элементов расхода электроэнергии на собственные нужды подстанций

Номенклатура включает расход электроэнергии на следующие цели:

охлаждение трансформаторов и автотрансформаторов;

обогрев, освещение и вентиляцию помещений (ОПУ, ЗРУ, ОВБ аккумуляторной, компрессорной, насосной пожаротушения, здание вспомогательных устройств синхронных компенсаторов, проходной);

освещение территории;

зарядно-подзарядные устройства аккумуляторных батарей;

питание оперативных цепей и цепей управления (на подстанциях с переменным оперативным током);

обогрев ячеек КРУН (с аппаратурой релейной защиты и автоматики, счетчиками или выключателями) и релейных шкафов наружной установки;

обогрев приводов и баков масляных выключателей;

обогрев приводов отделителей и короткозамыкателей;

обогрев приводов и маслобаков переключающих устройств РПН;

обогрев электродвигательных приводов разъединителей;

обогрев электросчетчиков в неотапливаемых помещениях;

обогрев агрегатных шкафов и шкафов управления воздушных выключателей;

питание компрессоров;

обогрев воздухосборников;

вспомогательные устройства синхронных компенсаторов (масляные, циркуляционные и дренажные насосы, задвижки, автоматика);

электропитание аппаратуры связи и телемеханики;

небольшие по объему ремонтные работы, выполняемые в процессе эксплуатации;

прочие: дренажные насосные, устройства РПН, дистилляторы, мелкие станки и приспособления и т.д.

К расходу электроэнергии на собственные нужды подстанций относится также расход электроэнергии на электроприемники, наличие которых обусловлено спецификой эксплуатации оборудования подстанций: кондиционирование помещения щита управления (жаркая климатическая зона), обогрев дорожек к оборудованию на открытой части подстанции (в районах с обильными снегопадами) и т.п.

В состав электроприемников собственных нужд подстанций не должны включаться потребители электроэнергии на хозяйственные нужды.

Приложение 3

к Инструкции по организации в

Министерстве энергетики Российской

Федерации работы по расчету и

обоснованию нормативов

технологических потерь

электроэнергии при ее передаче по

электрическим сетям

Формы таблиц, обосновывающих значения нормативов технологических потерь электроэнергии

(Образец)

Таблица 1 - Показатели баланса электроэнергии в целом по электрическим сетям ТСО

___________________________________________________________________________

Наименование ТСО

№ п/п

Наименование показателя

Единица измерения

Численное значение показателя по годам

Год, предшествую­щий базовому

Базовый год

Текущий год

Регулируе­мый год

1

2

3

4

5

6

7

1

Прием электроэнергии в сеть*, всего

тыс.кВт.ч

 

 

 

 

1.1

в том числе из сетей ФСК

тыс.кВт.ч

 

 

 

 

1.2

из сетей МСК

тыс.кВт.ч

 

 

 

 

1.3

из сетей ССО*

тыс.кВт.ч

 

 

 

 

1.4

из сетей ГК*

тыс.кВт.ч

 

 

 

 

1.5

от блок-станций

тыс.кВт.ч

 

 

 

 

2

Отдача электроэнергии из сети*, всего

тыс.кВт.ч

 

 

 

 

2.1

в том числе в сети ФСК

тыс.кВт.ч

 

 

 

 

2.2

в сети МСК

тыс.кВт.ч

 

 

 

 

2.3

в сети ССО

тыс.кВт.ч

 

 

 

 

2.4

в сети ГК

тыс.кВт.ч

 

 

 

 

3

Отпуск электроэнергии в сеть (п. 1 - п. 2)*

тыс.кВт.ч

 

 

 

 

4

Объем (количество) переданной (потребленной) электроэнергии, всего

тыс.кВт.ч

 

 

 

 

4.1

в том числе: расход электроэнергии на производственные (с учетом хозяйственных) нужды

тыс.кВт.ч

 

 

 

 

5

Фактические (отчетные) потери электроэнергии (п. 3 - п. 4)

тыс.кВт.ч

 

 

 

 

5.1

Справочно:

Фактические (отчетные) потери электроэнергии в процентах от отпуска электроэнергии в сеть (п. 5/п. 3)

 

 

 

 

 

6

Потери электроэнергии, учтенные в тарифе на передачу электроэнергии, всего

тыс.кВт.ч

 

 

 

Х

%

 

 

 

Х

6.1

в том числе по сети ВН

тыс.кВт.ч

 

 

 

Х

%

 

 

 

Х

6.2

по сети CHI

тыс.кВт.ч

 

 

 

Х

%

 

 

 

Х

6.3

по сети СНII

тыс.кВт.ч

 

 

 

Х

%

 

 

 

Х

6.4

по сети НН

тыс.кВт.ч

 

 

 

Х

%

 

 

 

Х

7

Потери электроэнергии, утвержденные в Минэнерго России, всего

тыс.кВт.ч

 

 

 

Х

%

 

 

 

Х

8

Сверхнормативные потери электроэнергии (п. 5 - п. 6)

тыс.кВт.ч

 

 

 

 

8.1

Справочно:

Сверхнормативные потери электроэнергии в процентах от отпуска электроэнергии в сеть (п. 8/п. 3)

 

 

 

 

 

* Примечания:

1. Прием электроэнергии в сеть определяется как сумма объемов электроэнергии, поступившей (поставленной) в электрическую сеть из других (смежных) сетевых организаций и от производителей электроэнергии (несальдируемая величина).

2. ССО - смежная сетевая организация, расположенная на территории другого субъекта Российской Федерации.

3. ГК - генерирующая компания.

4. Отдача электроэнергии из сети определяется как сумма объемов электроэнергии, отпущенной из электрической сети в другие смежные сетевые организации другого субъекта Российской Федерации и в сети производителей электроэнергии (не включая объем (количество) переданной (потребленной) электроэнергии) (несальдируемая величина).

5. Отпуск электроэнергии в электрическую сеть ТСО (отпуск в сеть) определяется как разность между приемом электроэнергии в сеть и ее отдачей из электрической сети.

_____________________________________________________________________________

Подпись                               Ф.И.О.                    Должность

Таблица 2 - Структура баланса электроэнергии по уровням напряжения в базовом году ________

_______________________________________________________________________________

Наименование ТСО

№ п/п

Наименование показателя

Единица измерения

Численное значение показателей по уровням напряжения

Всего

750 кВ

500 кВ

330 кВ

220 кВ

150-110 кВ

27,5-60 кВ

1-20 кВ

0,4 кВ

1

2

3

4

5

6

7

8

9

10

11

12

1

Прием электроэнергии в сеть, всего

тыс.кВт.ч

 

 

 

 

 

 

 

 

 

1.1

в том числе из сетей ФСК

тыс.кВт.ч

 

 

 

 

 

 

 

 

 

1.2

из сетей МСК

тыс.кВт.ч

 

 

 

 

 

 

 

 

 

1.3

из сетей ССО

тыс.кВт.ч

 

 

 

 

 

 

 

 

1.4

от сетей ГК

тыс.кВт.ч

 

 

 

 

 

 

 

 

 

1.5

от блок-станций

тыс.кВт.ч

 

 

 

 

 

 

 

 

 

2

Отдача электроэнергии из сетей, всего

тыс.кВт.ч

 

 

 

 

 

 

 

 

 

2.1

в том числе в сети ФСК

тыс.кВт.ч

 

 

 

 

 

 

 

 

 

2.2

в сети МСК

тыс.кВт.ч

 

 

 

 

 

 

 

 

 

2.3

в сети ССО

тыс.кВт.ч

 

 

 

 

 

 

 

 

 

2.4

в сети ГК

тыс.кВт.ч

 

 

 

 

 

 

 

 

 

3

Прием электроэнергии из сети смежного напряжения, всего

тыс.кВт.ч

Х

Х

 

 

 

 

 

 

 

3.1

в том числе из сетей 750 кВ

тыс.кВт.ч

Х

Х

 

 

 

 

 

 

Х

3.2

из сетей 500 кВ

тыс.кВт.ч

Х

Х

Х

 

 

 

 

 

Х

3.3

из сетей 330 кВ

тыс.кВт.ч

Х

Х

Х

Х

 

 

 

 

Х

3.4

из сетей 220 кВ

тыс.кВт.ч

Х

Х

Х

Х

Х

 

 

 

Х

3.5

из сетей 110 кВ

тыс.кВт.ч

Х

Х

Х

Х

Х

Х

 

 

Х

3.6

из сетей 27,5-60 кВ

тыс.кВт.ч

Х

Х

Х

Х

Х

Х

Х

 

 

3.7

из сетей 1-20 кВ

тыс.кВт.ч

Х

Х

Х

Х

Х

Х

Х

Х

 

4

Отдача электроэнергии в сети смежного напряжения, всего

тыс.кВт.ч

Х

 

 

 

 

 

 

 

Х

4.1

в том числе в сеть 500 кВ

тыс.кВт.ч

Х

 

Х

Х

Х

Х

Х

Х

Х

4.2

в сеть 330 кВ

тыс.кВт.ч

Х

 

 

Х

Х

Х

Х

Х

Х

4.3

в сеть 220 кВ

тыс.кВт.ч

Х

 

 

 

Х

Х

Х

Х

Х

4.4

в сеть 110 кВ

тыс.кВт.ч

Х

 

 

 

 

Х

Х

Х

Х

4.5

в сеть 27,5-60 кВ

тыс.кВт.ч

Х

 

 

 

 

 

Х

Х

Х

4.6

в сеть 1-20 кВ

тыс.кВт.ч

Х

 

 

 

 

 

 

Х

Х

4.7

в сеть 0,4 кВ

тыс.кВт.ч

Х

Х

Х

Х

Х

Х

 

 

Х

5

Отпуск электроэнергии в сеть (п. 1-п. 2+п. 3)*

тыс.кВт.ч

 

 

 

 

 

 

 

 

 

6

Объем (количество) переданной (потребленной) электроэнергии,* всего

тыс.кВт.ч

 

 

 

 

 

 

 

 

 

 

в том числе:

 

 

 

 

 

 

 

 

 

 

6.1

Объем (количество) переданной (потребленной) электроэнергии потребителям, непосредственно подключенным к шинам подстанций

тыс.кВт.ч

 

 

 

 

 

 

 

 

 

6.1.1.

первичный уровень напряжения подстанции ВН

тыс.кВт.ч

 

Х

Х

Х

Х

Х

 

 

Х

6.1.2.

первичный уровень напряжения подстанции СНI

тыс.кВт.ч

 

Х

Х

Х

Х

Х

Х

 

 

6.1.3.

первичный уровень напряжения подстанции СНII

тыс.кВт.ч

 

Х

Х

Х

Х

Х

Х

Х

 

6.2

Расход электроэнергии на производственные (с учетом хозяйственных) нужды

тыс.кВт.ч

 

 

 

 

 

 

 

 

 

7

Фактические (отчетные) потери электроэнергии в сети (п. 5-п. 6-п. 4)

тыс.кВт.ч

 

 

 

 

 

 

 

 

 

7.1

Справочно:

Фактические (отчетные) потери электроэнергии в процентах от отпуска электроэнергии в сеть (п. 7/п. 5)

%

 

 

 

 

 

 

 

 

 

8

Технологические потери электроэнергии, всего

тыс.кВт.ч

 

 

 

 

 

 

 

 

 

8.1

в том числе условно-постоянные

тыс.кВт.ч

 

 

 

 

 

 

 

 

 

8.2

нагрузочные

тыс.кВт.ч

 

 

 

 

 

 

 

 

 

8.3

потери, обусловленные допустимыми погрешностями приборов учета

тыс.кВт.ч

 

 

 

 

 

 

 

 

 

8.4

Справочно:

Технологические потери электроэнергии в процентах от отпуска электроэнергии в сеть (п. 8/п. 5)

%

 

 

 

 

 

 

 

 

 

9

Справочно:

Нетехнические потери электроэнергии (п. 7-п. 8)

тыс.кВт.ч

 

 

 

 

 

 

 

 

 

9.1

Справочно:

Нетехнические потери электроэнергии в процентах от отпуска электроэнергии в сеть (п. 9/п. 5)

%

 

 

 

 

 

 

 

 

 

*Примечания:

1. Отпуск электроэнергии в сеть (строка № 5) по уровням напряжения (столбцы № 5-12) определяется с учетом приема электроэнергии из сети смежного напряжения. Отпуск электроэнергии в сеть в целом (столбец № 4) определяется как разность между приемом электроэнергии в сеть и отдачей электроэнергии из сети (без учета приема электроэнергии из сети смежного напряжения).

2. Объем (количество) переданной (потребленной) электроэнергии определяется как сумма объемов переданной электроэнергии, сформированных в соответствии с фактическим уровнем номинального напряжения оборудования ТСО, к которому подключен потребитель услуг по передаче электроэнергии.

3. Значения в строке 6 не являются суммой значений строк 6.1. и 6.2.

4. В строке 6.1 указывается полная сумма объема переданной электроэнергии потребителям, непосредственно подключенным к шинам подстанций.

5. В строке 6.2 указывается полная сумма объема электроэнергии на производственные (хозяйственные) нужды.

_____________________________________________________________________________

Подпись                               Ф.И.О.                    Должность

Таблица 2А - Структура баланса электроэнергии по уровням напряжения в регулируемом году ________

_______________________________________________________________________________

Наименование ТСО

№ п/п

Наименование показателя

Единица измерения

Численное значение показателей по уровням напряжения

Всего

750 кВ

500 кВ

330 кВ

220 кВ

150-110 кВ

27,5-60 кВ

1-20 кВ

0,4 кВ

1

2

3

4

5

6

7

8

9

10

11

12

1

Прием электроэнергии в сеть, всего

тыс.кВт.ч

 

 

 

 

 

 

 

 

 

1.1

в том числе из сетей ФСК

тыс.кВт.ч

 

 

 

 

 

 

 

 

 

1.2

из сетей МСК

тыс.кВт.ч

 

 

 

 

 

 

 

 

 

1.3

из сетей ССО

тыс.кВт.ч

 

 

 

 

 

 

 

 

 

1.4

от сетей ГК

тыс.кВт.ч

 

 

 

 

 

 

 

 

 

1.5

от блок-станций

тыс.кВт.ч

 

 

 

 

 

 

 

 

 

2

Отдача электроэнергии из сетей, всего

тыс.кВт.ч

 

 

 

 

 

 

 

 

 

2.1

в том числе в сети ФСК

тыс.кВт.ч

 

 

 

 

 

 

 

 

 

2.2

в сети МСК

тыс.кВт.ч

 

 

 

 

 

 

 

 

 

2.3

в сети ССО

тыс.кВт.ч

 

 

 

 

 

 

 

 

 

2.4

в сети ГК

тыс.кВт.ч

 

 

 

 

 

 

 

 

 

3

Прием электроэнергии из сети смежного напряжения, всего

тыс.кВт.ч

X

X

 

 

 

 

 

 

 

3.1

в том числе из сетей 750 кВ

тыс.кВт.ч

X

X

 

 

 

 

 

 

X

3.2

из сетей 500 кВ

тыс.кВт.ч

X

X

X

 

 

 

 

 

X

3.3

из сетей 330 кВ

тыс.кВт.ч

X

X

X

X

 

 

 

 

X

3.4

из сетей 220 кВ

тыс.кВт.ч

X

X

X

X

X

 

 

 

X

3.5

из сетей 110 кВ

тыс.кВт.ч

X

X

X

X

X

X

 

 

X

3.6

из сетей 27,5-60 кВ

тыс.кВт.ч

X

X

X

X

X

X

X

 

 

3.7

из сетей 1-20 кВ

тыс.кВт.ч

X

X

X

X

X

X

X

X

 

4

Отдача электроэнергии в сети смежного напряжения, всего

тыс.кВт.ч

X

 

 

 

 

 

 

 

X

4.1

в том числе в сеть 500 кВ

тыс.кВт.ч

X

 

X

X

X

X

X

X

X

4.2

в сеть 330 кВ

тыс.кВт.ч

X

 

 

X

X

X

X

X

X

4.3

в сеть 220 кВ

тыс.кВт.ч

X

 

 

 

X

X

X

X

X

4.4

в сеть 110 кВ

тыс.кВт.ч

X

 

 

 

 

X

X

X

X

4.5

в сеть 27,5-60 кВ

тыс.кВт.ч

X

 

 

 

 

 

X

X

X

4.6

в сеть 1-20 кВ

тыс.кВт.ч

X

 

 

 

 

 

 

X

X

4.7

в сеть 0,4 кВ

тыс.кВт.ч

X

X

X

X

X

X

 

 

X

5

Отпуск электроэнергии в сеть (п. 1-п. 2+п. 3)

тыс.кВт.ч

 

 

 

 

 

 

 

 

 

6

Объем (количество) переданной (потребленной) электроэнергии

тыс.кВт.ч

 

 

 

 

 

 

 

 

 

 

всего

 

 

 

 

 

 

 

 

 

 

6.1

в том числе:

объем (количество) переданной (потребленной) электроэнергии потребителям, непосредственно подключенным к шинам подстанции

тыс.кВт.ч

 

 

 

 

 

 

 

 

 

6.1.1.

первичный уровень напряжения подстанции ВН

тыс.кВт.ч

 

X

X

X

X

X

 

 

X

6.1.2.

первичный уровень напряжения подстанции СНI

тыс.кВт.ч

 

X

X

X

X

X

X

 

 

6.1.3.

первичный уровень напряжения подстанции СНII

тыс.кВт.ч

 

X

X

X

X

X

X

X

 

6.2

Расход электроэнергии на производственные (с учетом хозяйственных) нужды

тыс.кВт.ч

 

 

 

 

 

 

 

 

 

7

Фактические (отчетные) потери электроэнергии в сети (п. 5-п. 6-п. 4)

тыс.кВт.ч

 

 

 

 

 

 

 

 

 

7.1

Справочно:

Фактические (отчетные) потери электроэнергии в процентах от отпуска электроэнергии в сеть (п. 7/п. 5)

%

 

 

 

 

 

 

 

 

 

8

Технологические потери электроэнергии, всего

тыс.кВт.ч

 

 

 

 

 

 

 

 

 

8.1

в том числе условно-постоянные

тыс.кВт.ч

 

 

 

 

 

 

 

 

 

8.2

нагрузочные

тыс.кВт.ч

 

 

 

 

 

 

 

 

 

8.3

потери, обусловленные допустимыми погрешностями приборов учета

тыс.кВт.ч

 

 

 

 

 

 

 

 

 

8.4

Справочно:

Технологические потери электроэнергии в процентах от отпуска электроэнергии в сеть (п. 8/п. 5)

%

 

 

 

 

 

 

 

 

 

9

Справочно:

Нетехнические потери электроэнергии (п. 7-п. 8)

тыс.кВт.ч

 

 

 

 

 

 

 

 

 

9.1

Справочно:

Нетехнические потери электроэнергии в процентах от отпуска электроэнергии в сеть (п. 9/п. 5)

%

 

 

 

 

 

 

 

 

 

_____________________________________________________________________________

Подпись                               Ф.И.О.                    Должность

Таблица 3 - Структура перетоков электроэнергии в базовом году _______

_______________________________________________________________________________

Наименование ТСО

ССО, Производители электроэнергии, сети ФСК и МСК

Количество уровней напряжения

Уровень напряжения, кВ

Перетоки электроэнергии, тыс.кВт.ч

Прием

Отдача

1

2

3

4

5

 

 

 

 

 

 

 

 

 

 

 

 

 

 

 

 

 

 

 

 

 

 

 

 

 

 

 

 

 

 

 

 

 

 

 

 

 

 

 

 

 

 

 

 

 

 

 

 

 

 

 

 

 

 

 

 

 

 

 

 

 

 

 

 

 

 

 

 

 

 

 

 

 

 

 

 

 

 

 

 

 

 

 

 

 

 

 

 

 

 

 

 

 

 

 

 

 

 

 

 

 

 

 

 

 

 

 

 

 

 

 

 

 

 

 

 

 

 

 

 

_____________________________________________________________________________

Подпись                               Ф.И.О.                    Должность

Таблица 4 - Структура технологических потерь электроэнергии в базовом году ______

_______________________________________________________________________________

Наименование ТСО

№ п/п

Наименование структурных составляющих

Численные значения по уровням напряжения

750 кВ

500 кВ

330 кВ

220 кВ

150-110 кВ

27,5-60 кВ

1-20 кВ

0,4 кВ

Всего

тыс. кВт. ч

%*

тыс. кВт. ч

%*

тыс. кВт. ч

%*

тыс. кВт. ч

%*

тыс. к Вт. ч

%*

тыс. кВт. ч

%*

тыс. кВт. ч

%*

тыс. кВт. ч

%*

тыс. кВт. ч

%*

1

2

3

4

5

6

7

8

9

10

11

12

13

14

15

16

17

18

19

20

1

Отпуск электроэнергии в сеть (п. 5 таблицы 2)*

 

X

 

X

 

X

 

X

 

X

 

X

 

X

 

X

 

X

2

Условно-постоянные потери электроэнергии

 

 

 

 

 

 

 

 

 

 

 

 

 

 

 

 

 

 

2.1

Холостой ход трансформаторов

 

 

 

 

 

 

 

 

 

 

 

 

 

 

 

 

 

 

2.2

Корона в воздушных линиях

 

 

 

 

 

 

 

 

 

 

 

 

 

 

 

 

 

 

2.3

Токи утечки в воздушных линиях

 

 

 

 

 

 

 

 

 

 

 

 

 

 

 

 

 

 

2.4

Изоляция в кабельных линиях

 

 

 

 

 

 

 

 

 

 

 

 

 

 

 

 

 

 

2.5

Измерительные трансформаторы тока

 

 

 

 

 

 

 

 

 

 

 

 

 

 

 

 

 

 

2.6

Измерительные трансформаторы напряжения

 

 

 

 

 

 

 

 

 

 

 

 

 

 

 

 

 

 

2.7

Счетчики прямого включения

 

 

 

 

 

 

 

 

 

 

 

 

 

 

 

 

 

 

2.8

Шунтирующие реакторы

 

 

 

 

 

 

 

 

 

 

 

 

 

 

 

 

 

 

2.9

Соединительные провода и сборные шины подстанций

 

 

 

 

 

 

 

 

 

 

 

 

 

 

 

 

 

 

2.10

Вентильные разрядники

 

 

 

 

 

 

 

 

 

 

 

 

 

 

 

 

 

 

2.11

Ограничители перенапряжений

 

 

 

 

 

 

 

 

 

 

 

 

 

 

 

 

 

 

2.12

Устройства присоединения ВЧ-связи

 

 

 

 

 

 

 

 

 

 

 

 

 

 

 

 

 

 

2.13

Компенсирующие устройства

 

 

 

 

 

 

 

 

 

 

 

 

 

 

 

 

 

 

2.14

Расход электроэнергии на собственные нужды

 

 

 

 

 

 

 

 

 

 

 

 

 

 

 

 

 

 

2.15

Расход электроэнергии на плавку гололеда

 

 

 

 

 

 

 

 

 

 

 

 

 

 

 

 

 

 

3

Нагрузочные потери электроэнергии

 

 

 

 

 

 

 

 

 

 

 

 

 

 

 

 

 

 

3.1

Трансформаторы

 

 

 

 

 

 

 

 

 

 

 

 

 

 

 

 

 

 

3.2

Линии

 

 

 

 

 

 

 

 

 

 

 

 

 

 

 

 

 

 

3.3

Токоограничивающие реакторы

 

 

 

 

 

 

 

 

 

 

 

 

 

 

 

 

 

 

3.4

Шинопроводы

 

 

 

 

 

 

 

 

 

 

 

 

 

 

 

 

 

 

4

Технические потери электроэнергии (п. 2+п. 3)

 

 

 

 

 

 

 

 

 

 

 

 

 

 

 

 

 

 

5

Потери электроэнергии, обусловленные допустимыми погрешностями приборов учета

 

 

 

 

 

 

 

 

 

 

 

 

 

 

 

 

 

 

6

Технологические потери электроэнергии (п. 4+п. 5)

 

 

 

 

 

 

 

 

 

 

 

 

 

 

 

 

 

 

* Примечание: Проценты справочно определяются к отпуску электроэнергии в сеть по уровням напряжения.

_____________________________________________________________________________

Подпись                               Ф.И.О.                    Должность

Таблица 4А - Структура технологических потерь электроэнергии в регулируемом году __________

_______________________________________________________________________________

Наименование ТСО

№ п/п

Наименование структурных составляющих

Численные значения по уровням напряжения

750 кВ

500 кВ

330 кВ

220 кВ

150-110 кВ

27,5-60 кВ

1-20 кВ

0,4 кВ

Всего

тыс. кВт. ч

%

тыс. кВт. ч

%

тыс. кВт. ч

%

тыс. кВт. ч

%

тыс. к Вт. ч

%

тыс. кВт. ч

%

тыс. кВт. ч

%

тыс. кВт. ч

%

тыс. кВт. ч

%

1

2

3

4

5

6

7

8

9

10

11

12

13

14

15

16

17

18

19

20

1

Отпуск электроэнергии в сеть (п. 5 таблицы 2А)

 

X

 

X

 

X

 

X

 

X

 

X

 

X

 

X

 

X

2

Условно-постоянные потери электроэнергии

 

 

 

 

 

 

 

 

 

 

 

 

 

 

 

 

 

 

2.1

Холостой ход трансформаторов

 

 

 

 

 

 

 

 

 

 

 

 

 

 

 

 

 

 

2.2

Корона в воздушных линиях

 

 

 

 

 

 

 

 

 

 

 

 

 

 

 

 

 

 

2.3

Токи утечки в воздушных линиях

 

 

 

 

 

 

 

 

 

 

 

 

 

 

 

 

 

 

2.4

Изоляция в кабельных линиях

 

 

 

 

 

 

 

 

 

 

 

 

 

 

 

 

 

 

2.5

Измерительные трансформаторы тока

 

 

 

 

 

 

 

 

 

 

 

 

 

 

 

 

 

 

2.6

Измерительные трансформаторы напряжения

 

 

 

 

 

 

 

 

 

 

 

 

 

 

 

 

 

 

2.7

Счетчики прямого включения

 

 

 

 

 

 

 

 

 

 

 

 

 

 

 

 

 

 

2.8

Шунтирующие реакторы

 

 

 

 

 

 

 

 

 

 

 

 

 

 

 

 

 

 

2.9

Соединительные провода и сборные шины подстанций

 

 

 

 

 

 

 

 

 

 

 

 

 

 

 

 

 

 

2.10

Вентильные разрядники

 

 

 

 

 

 

 

 

 

 

 

 

 

 

 

 

 

 

2.11

Ограничители перенапряжений

 

 

 

 

 

 

 

 

 

 

 

 

 

 

 

 

 

 

2.12

Устройства присоединения ВЧ-связи

 

 

 

 

 

 

 

 

 

 

 

 

 

 

 

 

 

 

2.13

Компенсирующие устройства

 

 

 

 

 

 

 

 

 

 

 

 

 

 

 

 

 

 

2.14

Расход электроэнергии на собственные нужды

 

 

 

 

 

 

 

 

 

 

 

 

 

 

 

 

 

 

2.15

Расход электроэнергии на плавку гололеда

 

 

 

 

 

 

 

 

 

 

 

 

 

 

 

 

 

 

3

Нагрузочные потери электроэнергии

 

 

 

 

 

 

 

 

 

 

 

 

 

 

 

 

 

 

3.1

Трансформаторы

 

 

 

 

 

 

 

 

 

 

 

 

 

 

 

 

 

 

3.2

Линии

 

 

 

 

 

 

 

 

 

 

 

 

 

 

 

 

 

 

3.3

Токоограничивающие реакторы

 

 

 

 

 

 

 

 

 

 

 

 

 

 

 

 

 

 

3.4

Шинопроводы

 

 

 

 

 

 

 

 

 

 

 

 

 

 

 

 

 

 

4

Технические потери электроэнергии (п. 2+п. 3)

 

 

 

 

 

 

 

 

 

 

 

 

 

 

 

 

 

 

5

Потери электроэнергии, обусловленные допустимыми погрешностями приборов учета

 

 

 

 

 

 

 

 

 

 

 

 

 

 

 

 

 

 

6

Технологические потери электроэнергии (п. 4+п. 5)

 

 

 

 

 

 

 

 

 

 

 

 

 

 

 

 

 

 

_____________________________________________________________________________

Подпись                               Ф.И.О.                    Должность

Таблица 5 - Программа снижения потерь электроэнергии

_______________________________________________________________________________

Наименование ТСО

№ п/п

Наименование мероприятий

Срок исполнения

Ответствен­ная служба

Объем меропри­ятий

Годовое снижение потерь электроэнергии от внедрения мероприятий, тыс.кВт.ч, %

начало

оконча­ние

Базовый год (t)

Текущий год (t+1)

Регули­руемый год (t+2)

Год (t+3)

Год (t+4)

Год (t+5)

1

2

3

4

5

6

7

8

9

10

11

12

1

Организацион­ные мероприятия

 

 

 

 

 

 

 

 

 

 

1.1

 

 

 

 

 

 

 

 

 

 

 

 

 

 

 

 

 

 

 

 

 

 

 

2

Технические мероприятия

 

 

 

 

 

 

 

 

 

 

2.1

 

 

 

 

 

 

 

 

 

 

 

 

 

 

 

 

 

 

 

 

 

 

 

3

Совершенство­вание систем расчетного и технического учета

 

 

 

 

 

 

 

 

 

 

3.1

 

 

 

 

 

 

 

 

 

 

 

 

 

 

 

 

 

 

 

 

 

 

 

4

Всего

 

 

X

X

 

 

 

 

 

 

4.1

Справочно:

Всего в процентах от фактических потерь электроэнергии

X

X

X

X

 

 

 

 

 

 

4.2

Справочно:

Всего в процентах от отпуска электроэнергии в сеть

X

X

X

X

 

 

 

 

 

 

_____________________________________________________________________________

Подпись                               Ф.И.О.                    Должность

Таблица 6 - Сводный баланс электроэнергии по уровням напряжения в базовом и регулируемом годах

_______________________________________________________________________________

Наименование ТСО

№ п/п

Наименование показателя

Единица измерения

Численное значение показателя по уровням напряжения

Базовый год

Регулируемый год

Всего

ВН

CHI

СНII

НН

Всего

ВН

CHI

СНII

НН

1

2

3

4

5

6

7

8

9

10

11

12

13

1

Отпуск электроэнергии в сеть (п. 5 таблицы 2, п. 5 таблицы 2А)

тыс.кВт.ч

 

 

 

 

 

 

 

 

 

 

2

Отдача электроэнергии в сети смежного напряжения

тыс.кВт.ч

X

 

 

 

X

X

 

 

 

X

3

Объем (количество) переданной (потребленной) электроэнергии всего,

тыс.кВт.ч

 

 

 

 

 

 

 

 

 

 

3.1

в том числе

объем (количество) переданной (потребленной) электроэнергии потребителям, непосредственно подключенным к шинам подстанций

тыс.кВт.ч

 

 

 

 

 

 

 

 

 

 

3.2

расход электроэнергии на производственные (с учетом хозяйственных) нужды

тыс.кВт.ч

 

 

 

 

 

 

 

 

 

 

4

Фактические (отчетные) потери электроэнергии в сети (п. 1-п. 2-п. 3)

тыс.кВт.ч

 

 

 

 

 

 

 

 

 

 

4.1

Справочно:

Фактические (отчетные) потери электроэнергии в процентах от отпуска электроэнергии в сеть (п. 4/п. 1)

%

 

 

 

 

 

 

 

 

 

 

5

Технологические потери электроэнергии

тыс.кВт.ч

 

 

 

 

 

 

 

 

 

 

6

Нетехнические потери электроэнергии (п. 4-п. 5)

тыс.кВт.ч

 

 

 

 

 

 

 

 

 

 

6.1

Справочно:

Нетехнические потери электроэнергии в процентах от отпуска электроэнергии в сеть (п. 6/п. 1)

%

 

 

 

 

 

 

 

 

 

 

7.

Справочно:

Нормативные технологические потери электроэнергии в процентах от отпуска электроэнергии в сеть (п. 5/п. 1)

%

 

 

 

 

 

 

 

 

 

 

_____________________________________________________________________________

Подпись                               Ф.И.О.                    Должность

Таблица 7 - Количество и установленная мощность трансформаторов

_______________________________________________________________________________

Наименование ТСО

№ п/п

Единичная мощность, кВ×А

Высшее напряжение, кВ

Количество, шт.

Установленная мощность, кВ×A

Базовый год

Регулируемый год

Базовый год

Регулируемый год

1

2

3

4

5

6

7

1.1

До 2500

3-20

 

 

 

 

1.2

 

27,5-35

 

 

 

 

2.1

От 2500 до 10000

3-20

 

 

 

 

2.2

 

35

 

 

 

 

2.3

 

110-154

 

 

 

 

3.1

От 10000 до 80000 включительно

3-20

 

 

 

 

3.2

 

27,5-35

 

 

 

 

3.3

 

110-154

 

 

 

 

3.4

 

220

 

 

 

 

4.1

Более 80000

110-154

 

 

 

 

4.2

 

220

 

 

 

 

4.3

 

330 однофазные

 

 

 

 

4.4

 

330 трехфазные

 

 

 

 

4.5

 

400-500 однофазные

 

 

 

 

4.6

 

400-500 трехфазные

 

 

 

 

4.7

 

750-1150

 

 

 

 

5

Итого:

-

 

 

 

 

Примечание - Резервные не используемые трансформаторы, а также специальные трансформаторы для плавки гололеда в таблицу не включаются.

_____________________________________________________________________________

Подпись                               Ф.И.О.                    Должность

Таблица 8 - Количество и мощность устройств компенсации реактивной мощности

_______________________________________________________________________________

Наименование ТСО

№ п/п

Тип

Напряжение, кВ

Количество, шт./группы

Установленная мощность, Мвар

Мощность, тыс.кВ×А

Базовый год

Регулируемый год

Базовый год

Регулируемый год

1

2

3

4

5

6

7

1.1

Шунтирующие реакторы

3-20 кВ

 

 

 

 

1.2

27,5-35 кВ

 

 

 

 

1.3

150-110 кВ

 

 

 

 

1.4

500 кВ

 

 

 

 

1.5

750 кВ

 

 

 

 

1.6

Итого

 

 

 

 

2.1

СК и генераторы, в режиме СК

до 15,0 тыс.кВ×А

 

 

 

 

2.2

от 15,0 до 37,5 тыс.кВ×А

 

 

 

 

2.3

50 тыс.кВ×А

 

 

 

 

2.4

от 75,0 до 100,0 тыс.кВ×А

 

 

 

 

2.5

160 тыс.кВ×А

 

 

 

 

2.6

Итого

 

 

 

 

3.1

БСК и CTK

0,4-20 кВ

 

 

 

 

3.2

35 кВ

 

 

 

 

3.3

150-110 кВ

 

 

 

 

3.4

220 кВ и выше

 

 

 

 

3.5

Итого

 

 

 

 

_____________________________________________________________________________

Подпись                               Ф.И.О.                    Должность

Таблица 9 - Протяженность (по цепям) воздушных и кабельных линий электропередачи и шинопроводов

_______________________________________________________________________________

Наименование ТСО

№ п/п

Класс напряжения

Протяженность, км

Базовый год

Регулируемый год

1

2

3

4

1

Воздушные линии

1.1

1150 кВ

 

 

1.2

800 кВ

 

 

1.3

750 кВ

 

 

1.4

500 кВ

 

 

1.5

400 кВ

 

 

1.6

330 кВ

 

 

1.7

220 кВ

 

 

1.8

154 кВ

 

 

1.9

110 кВ

 

 

1.10

35 кВ

 

 

1.11

27,5 кВ

 

 

1.12

20 кВ

 

 

1.13

10 кВ

 

 

1.14

6 кВ

 

 

1.15

Итого от 6 кВ и выше

 

 

1.16

3 кВ

 

 

1.17

2 кВ

 

 

1.18

500 Вольт и ниже

 

 

1.19

Итого ниже 6 кВ

 

 

1.20

Всего по воздушным линиям

 

 

2

Кабельные линии

2.1

220 кВ

 

 

2.2

110 кВ

 

 

2.3

35 кВ

 

 

2.4

27,5 кВ

 

 

2.5

20 кВ

 

 

2.6

10 кВ

 

 

2.7

6 кВ

 

 

2.8

Итого от 6 кВ и выше

 

 

2.9

3 кВ

 

 

2.10

2 кВ

 

 

2.11

500 Вольт и ниже

 

 

2.12

Итого ниже 6 кВ

 

 

2.13

Всего по кабельным линиям

 

 

3

Всего по воздушным и кабельным линиям

 

 

4

Шинопроводы

4.1

800 кВ

 

 

4.2

750 кВ

 

 

4.3

500 кВ

 

 

4.4

400 кВ

 

 

4.5

330 кВ

 

 

4.6

220 кВ

 

 

4.7

154 кВ

 

 

4.8

110 кВ

 

 

4.9

35 кВ

 

 

4.10

27,5 кВ

 

 

4.11

20 кВ

 

 

4.12

10 кВ

 

 

4.13

6 кВ

 

 

4.14

Всего по шинопроводам

 

 

_____________________________________________________________________________

Подпись                               Ф.И.О.                    Должность

Приложение 4

к Инструкции по организации в Министерстве

энергетики Российской Федерации

работы по расчету и обоснованию нормативов

технологических потерь электроэнергии

при ее передаче по электрическим сетям

Формы таблиц, обосновывающих значения нормативов технологических потерь электроэнергии*

(Образец)

Таблица 1 - Показатели баланса электроэнергии в целом по ФСК и МСК

___________________________________________________________________

Наименование

№ п/п

Наименование показателя

Единица измерения

Численное значение показателя по годам

Год, предшествующий базовому

Базовый год

Текущий год

Регулируе­мый год

1

2

3

4

5

6

7

1

Прием электроэнергии в сеть*, всего

млн.кВт.ч

 

 

 

 

1.1

в том числе из сетей МСК, МЭС

млн.кВт.ч

 

 

 

 

1.2

из сетей ССО*

млн.кВт.ч

 

 

 

 

1.3

из сетей ГК*

млн.кВт.ч

 

 

 

 

2

Отдача электроэнергии из сети*, всего

млн.кВт.ч

 

 

 

 

2.1

в том числе в сети МСК

млн.кВт.ч

 

 

 

 

2.2

в сети ССО

млн.кВт.ч

 

 

 

 

2.3

в сети ГК

млн.кВт.ч

 

 

 

 

2.4

потребителям ОРЭЭ

млн.кВт.ч

 

 

 

 

3

Объем (количество) переданной (потребленной) электроэнергии, всего

млн.кВт.ч

 

 

 

 

3.1

в том числе: расход электроэнергии на производственные (с учетом хозяйственных) нужды

млн.кВт.ч

 

 

 

 

4

Отпуск электроэнергии из сети

млн.кВт.ч

 

 

 

 

5

Фактические (отчетные) потери электроэнергии (п. 1-п. 2-п. 3)

млн.кВт.ч

 

 

 

 

5.1

Справочно:

Фактические (отчетные) потери электроэнергии в процентах от отпуска электроэнергии из сети (п. 5/п. 4)

%

 

 

 

 

6

Потери электроэнергии, учтенные в тарифе на передачу

млн.кВт.ч

 

 

 

Х

%

 

 

 

Х

7

Потери электроэнергии, утвержденные Минэнерго России

млн.кВт.ч

 

 

 

Х

%

 

 

 

Х

8

Сверхнормативные потери электроэнергии (п. 5-п. 6)

млн.кВт.ч

 

 

 

 

8.1

Справочно:

Сверхнормативные потери электроэнергии в процентах от отпуска электроэнергии из сети (п. 8/п. 4)

%

 

 

 

 

* Примечания: 1. Прием электроэнергии в сеть определяется как сумма объемов электроэнергии, поступившей (поставленной) в электрическую сеть из других (смежных) сетевых организаций и от производителей электроэнергии (несальдируемая величина).

2. ССО - смежная сетевая организация.

3. ГК - генерирующая компания.

4. Отдача электроэнергии из сети определяется как сумма объемов электроэнергии, отпущенной из электрической сети в другие (смежные) сетевые организации и в сети производителей электроэнергии (не включая объем (количество) переданной (потребленной) электроэнергии) (несальдируемая величина).

_____________________________________________________________________________

Подпись                               Ф.И.О.                    Должность

_____________________________

* В Приложении № 4 представлены таблицы (№ 1, 2, 2А, 4, 4А, 6), отличающиеся от таблиц для ТСО, в виду особенностей формирования баланса электроэнергии для ФСК и МСК. Остальные таблицы (№ 3, 5, 7, 8, 9) аналогичны представленным в Приложении 3.

Таблица 2 - Структура баланса электроэнергии по уровням напряжения в целом по ФСК и МСК в базовом году ____

___________________________________________________________________________

Наименование

№ п/п

Наименование показателя

Единица измерения

Численное значение показателей по уровням напряжения

Всего

750 кВ

500 кВ

330 кВ

220 кВ

150-110 кВ

27,5-60 кВ

1-20 кВ

0,4 кВ

1

2

3

4

5

6

7

8

9

10

11

12

1

Прием электроэнергии в сеть, в т.ч.

млн.кВт.ч

 

 

 

 

 

 

 

 

 

1.1

из сетей МСК, МЭС

млн.кВт.ч

 

 

 

 

 

 

 

 

 

1.2

из сетей ССО

млн.кВт.ч

 

 

 

 

 

 

 

 

 

1.3

из сетей ГК

млн.кВт.ч

 

 

 

 

 

 

 

 

 

1.4

от блок-станций

млн.кВт.ч

 

 

 

 

 

 

 

 

 

2

Отдача электроэнергии из сетей, в т.ч.

млн.кВт.ч

 

 

 

 

 

 

 

 

 

2.1

в сети МСК, МЭС

млн.кВт.ч

 

 

 

 

 

 

 

 

 

2.2

в сети ССО

млн.кВт.ч

 

 

 

 

 

 

 

 

 

2.3

в сети ГК

млн.кВт.ч

 

 

 

 

 

 

 

 

 

2.4

потребителям ОРЭЭ

млн.кВт.ч

 

 

 

 

 

 

 

 

 

3

Отпуск электроэнергии из сети

млн.кВт.ч

 

 

 

 

 

 

 

 

 

4

Прием электроэнергии из сети смежного напряжения

млн.кВт.ч

X

 

 

 

 

 

 

 

 

4.1

из сетей 750 кВ

млн.кВт.ч

X

X

 

 

 

 

 

 

X

4.2

из сетей 500 кВ

млн.кВт.ч

X

X

X

 

 

 

 

 

X

4.3

из сетей 330 кВ

млн.кВт.ч

X

X

X

X

 

 

 

 

X

4.4

из сетей 220 кВ

млн.кВт.ч

X

X

X

X

X

 

 

 

X

4.5

из сетей 110 кВ

млн.кВт.ч

X

X

X

X

X

 

 

 

X

4.6

из сетей 35-60 кВ

млн.кВт.ч

X

X

X

X

X

X

X

 

 

4.7

из сетей 1-20 кВ

млн.кВт.ч

X

X

X

X

X

X

X

X

 

5

Отдача электроэнергии в сети смежного напряжения

млн.кВт.ч

X

 

 

 

 

 

 

 

X

5.1

в сеть 500 кВ

млн.кВт.ч

X

 

X

X

X

X

X

X

X

5.2

в сеть 330 кВ

млн.кВт.ч

X

 

 

X

X

X

X

X

X

5.3

в сеть 220 кВ

млн.кВт.ч

X

 

 

 

X

X

X

X

X

5.4

в сеть 110 кВ

млн.кВт.ч

X

 

 

 

 

X

X

X

X

5.5

в сеть 35-60 кВ

млн.кВт.ч

X

 

 

 

 

 

X

X

X

5.6

в сеть 1-20 кВ

млн.кВт.ч

X

 

 

 

 

 

 

X

X

5.7

в сеть 0,4 кВ

млн.кВт.ч

X

X

X

X

X

X

 

 

X

6

Объем (количество) переданной (потребленной) электроэнергии*, всего

млн.кВт.ч

 

 

 

 

 

 

 

 

 

6.1

в том числе: расход электроэнергии на производственные (с учетом хозяйственных) нужды

млн.кВт.ч

 

 

 

 

 

 

 

 

 

7

Фактические (отчетные) потери электроэнергии в сети (п. 1+п. 4-п. 2-п. 5 -п. 6)

млн.кВт.ч

 

 

 

 

 

 

 

 

 

7.1

Справочно:

Фактические (отчетные) потери электроэнергии в процентах от отпуска электроэнергии из сети (п. 7/п. 3)

%

 

 

 

 

 

 

 

 

 

8

Технологические потери электроэнергии, в том числе

млн.кВт.ч

 

 

 

 

 

 

 

 

 

8.1

условно-постоянные

млн.кВт.ч

 

 

 

 

 

 

 

 

 

8.2

нагрузочные

млн.кВт.ч

 

 

 

 

 

 

 

 

 

8.3

потери, обусловленные погрешностью приборов учета

млн.кВт.ч

 

 

 

 

 

 

 

 

 

8.4

Справочно:

Технологические потери электроэнергии в процентах от отпуска электроэнергии из сети (п. 8/п. 3)

%

 

 

 

 

 

 

 

 

 

9

Справочно:

Нетехнические потери электроэнергии (п. 7-п. 8)

млн.кВт.ч

 

 

 

 

 

 

 

 

 

9.1

Справочно:

Нетехнические потери электроэнергии в процентах от отпуска электроэнергии из сети (п. 9/п. 3)

%

 

 

 

 

 

 

 

 

 

*Примечание: Объем (количество) переданной (потребленной) электроэнергии определяется как сумма объемов переданной электроэнергии, сформированных в соответствии с фактическим уровнем номинального напряжения оборудования ФСК и МСК, к которому подключен потребитель услуг по передаче электроэнергии.

_____________________________________________________________________________

Подпись                               Ф.И.О.                    Должность

Таблица 2А - Структура баланса электроэнергии по уровням напряжения в целом по ФСК и МСК в регулируемом году________

________________________________________________________________________________

Наименование

№ п/п

Наименование показателя

Единица измерения

Численное значение показателей по уровням напряжения

Всего

750 кВ

500 кВ

330 кВ

220 кВ

150-110 кВ

27,5-60 кВ

1-20 кВ

0,4 кВ

1

2

3

4

5

6

7

8

9

10

11

12

1

Прием электроэнергии в сеть ФСК, в т.ч.

млн.кВт.ч

 

 

 

 

 

 

 

 

 

1.1

из сетей МСК

млн.кВт.ч

 

 

 

 

 

 

 

 

 

1.2

из сетей ССО

млн.кВт.ч

 

 

 

 

 

 

 

 

 

1.3

из сетей ГК

млн.кВт.ч

 

 

 

 

 

 

 

 

 

1.4

от блок-станций

млн.кВт.ч

 

 

 

 

 

 

 

 

 

2

Отдача электроэнергии из сетей ФСК, в т.ч.

млн.кВт.ч

 

 

 

 

 

 

 

 

 

2.1

в сети МСК

млн.кВт.ч

 

 

 

 

 

 

 

 

 

2.2

в сети ССО

млн.кВт.ч

 

 

 

 

 

 

 

 

 

2.3

в сети ГК

млн.кВт.ч

 

 

 

 

 

 

 

 

 

2.4

потребителям ОРЭЭ

млн.кВт.ч

 

 

 

 

 

 

 

 

 

3

Отпуск электроэнергии из сети

млн.кВт.ч

 

 

 

 

 

 

 

 

 

4

Прием электроэнергии из сети смежного напряжения

млн.кВт.ч

X

X

 

 

 

 

 

 

 

4.1

из сетей 750 кВ

млн.кВт.ч

X

X

 

 

 

 

 

 

X

4.2

из сетей 500 кВ

млн.кВт.ч

X

X

X

 

 

 

 

 

X

4.3

из сетей 330 кВ

млн.кВт.ч

X

X

X

X

 

 

 

 

X

4.4

из сетей 220 кВ

млн.кВт.ч

X

X

X

X

X

 

 

 

X

4.5

из сетей 110 кВ

млн.кВт.ч

X

X

X

X

X

X

 

 

X

4.6

из сетей 35-60 кВ

млн.кВт.ч

X

X

X

X

X

X

X

 

 

4.7

из сетей 1-20 кВ

млн.кВт.ч

X

X

X

X

X

X

X

X

 

5

Отдача электроэнергии в сети смежного напряжения

млн.кВт.ч

X

 

 

 

 

 

 

 

X

5.1

в сеть 500 кВ

млн.кВт.ч

X

 

X

X

X

X

X

X

X

5.2

в сеть 330 кВ

млн.кВт.ч

X

 

 

X

X

X

X

X

X

5.3

в сеть 220 кВ

млн.кВт.ч

X

 

 

 

X

X

X

X

X

5.4

в сеть 110 кВ

млн.кВт.ч

X

 

 

 

 

X

X

X

X

5.5

в сеть 35-60 кВ

млн.кВт.ч

X

 

 

 

 

 

X

X

X

5.6

в сеть 1-20 кВ

млн.кВт.ч

X

 

 

 

 

 

 

X

X

5.7

в сеть 0,4 кВ

млн.кВт.ч

X

X

X

X

X

X

 

 

X

6

Объем (количество) переданной (потребленной) электроэнергии, всего

млн.кВт.ч

 

 

 

 

 

 

 

 

 

6.1

в том числе: расход электроэнергии на производственные (с учетом хозяйственных) нужды

млн.кВт.ч

 

 

 

 

 

 

 

 

 

7

Фактические (отчетные) потери электроэнергии в сети (п. 1+п. 4-п. 2-п. 5-п. 6)

млн.кВт.ч

 

 

 

 

 

 

 

 

 

7.1

Справочно:

Фактические (отчетные) потери электроэнергии в процентах от отпуска электроэнергии из сети

%

 

 

 

 

 

 

 

 

 

8

Технологические потери электроэнергии, в т.ч.

млн.кВт.ч

 

 

 

 

 

 

 

 

 

8.1

условно-постоянные

млн.кВт.ч

 

 

 

 

 

 

 

 

 

8.2

нагрузочные

млн.кВт.ч

 

 

 

 

 

 

 

 

 

8.3

потери, обусловленные погрешностью приборов учета

млн.кВт.ч

 

 

 

 

 

 

 

 

 

8.4

Справочно:

Технологические потери электроэнергии в процентах от отпуска электроэнергии из сети (п. 8/п. 3)

%

 

 

 

 

 

 

 

 

 

9

Справочно:

Нетехнические потери электроэнергии (п. 7-п. 8)

млн.кВт.ч

 

 

 

 

 

 

 

 

 

9.1

Справочно:

Нетехнические потери электроэнергии в процентах от отпуска электроэнергии из сети (п. 9/п. 3)

%

 

 

 

 

 

 

 

 

 

_____________________________________________________________________________

Подпись                               Ф.И.О.                    Должность

Таблица 4 - Структура технологических потерь электроэнергии в электрических сетях в базовом году________

____________________________________________________________________________

Наименование

№ п/п

Наименование структурных составляющих

Численные значения по уровням напряжения

750 кВ

500 кВ

330 кВ

220 кВ

150-110 кВ

27,5-60 кВ

1-20 кВ

0,4 кВ

Всего

млн. кВт. ч

%*

млн. к Вт. ч

%

млн. кВт. ч

%

млн. кВт. ч

%

млн. кВт. ч

%

млн. кВт. ч

%

млн. к Вт. ч

%

млн. кВт. ч

%

млн. кВт. ч

%

1

2

3

4

5

6

7

8

9

10

11

12

13

14

15

16

17

18

19

20

1

Отпуск электроэнергии из сети (п. 3 таблицы 2)

 

X

 

X

 

X

 

X

 

X

 

X

 

X

 

X

 

X

2

Условно-постоянные потери электроэнергии

 

 

 

 

 

 

 

 

 

 

 

 

 

 

 

 

 

 

2.1

Холостой ход трансформаторов

 

 

 

 

 

 

 

 

 

 

 

 

 

 

 

 

 

 

2.2

Корона в воздушных линиях

 

 

 

 

 

 

 

 

 

 

 

 

 

 

 

 

 

 

2.3

Токи утечки в воздушных линиях

 

 

 

 

 

 

 

 

 

 

 

 

 

 

 

 

 

 

2.4

Изоляция в кабельных линиях

 

 

 

 

 

 

 

 

 

 

 

 

 

 

 

 

 

 

2.5

Измерительные трансформаторы тока

 

 

 

 

 

 

 

 

 

 

 

 

 

 

 

 

 

 

2.6

Измерительные трансформаторы напряжения

 

 

 

 

 

 

 

 

 

 

 

 

 

 

 

 

 

 

2.7

Счетчики прямого включения

 

 

 

 

 

 

 

 

 

 

 

 

 

 

 

 

 

 

2.8

Шунтирующие реакторы

 

 

 

 

 

 

 

 

 

 

 

 

 

 

 

 

 

 

2.9

Соединительные провода и сборные шины подстанций

 

 

 

 

 

 

 

 

 

 

 

 

 

 

 

 

 

 

2.10

Вентильные разрядники

 

 

 

 

 

 

 

 

 

 

 

 

 

 

 

 

 

 

2.11

Ограничители перенапряжений

 

 

 

 

 

 

 

 

 

 

 

 

 

 

 

 

 

 

2.12

Устройства присоединения ВЧ-связи

 

 

 

 

 

 

 

 

 

 

 

 

 

 

 

 

 

 

2.13

Компенсирующие устройства

 

 

 

 

 

 

 

 

 

 

 

 

 

 

 

 

 

 

2.14

Расход электроэнергии на собственные нужды

 

 

 

 

 

 

 

 

 

 

 

 

 

 

 

 

 

 

2.15

Расход электроэнергии на плавку гололеда

 

 

 

 

 

 

 

 

 

 

 

 

 

 

 

 

 

 

3

Нагрузочные потери электроэнергии

 

 

 

 

 

 

 

 

 

 

 

 

 

 

 

 

 

 

3.1

Трансформаторы

 

 

 

 

 

 

 

 

 

 

 

 

 

 

 

 

 

 

3.2

Линии

 

 

 

 

 

 

 

 

 

 

 

 

 

 

 

 

 

 

3.3

Токоограничивающие реакторы

 

 

 

 

 

 

 

 

 

 

 

 

 

 

 

 

 

 

3.4

Шинопроводы

 

 

 

 

 

 

 

 

 

 

 

 

 

 

 

 

 

 

4

Технические потери электроэнергии (п. 2+п. 3)

 

 

 

 

 

 

 

 

 

 

 

 

 

 

 

 

 

 

5

Потери электроэнергии, обусловленные допустимой погрешностью приборов учета

 

 

 

 

 

 

 

 

 

 

 

 

 

 

 

 

 

 

6

Технологические потери электроэнергии (п. 4+п. 5)

 

 

 

 

 

 

 

 

 

 

 

 

 

 

 

 

 

 

* Примечание: Проценты определяются справочно к отпуску электроэнергии из сети по уровням напряжения.

_____________________________________________________________________________

Подпись                               Ф.И.О.                    Должность

Таблица 4А - Структура технологических потерь электроэнергии в электрических сетях в регулируемом году__

_______________________________________________________________________

Наименование

№ п/п

Наименование структурных составляющих

Численные значения по уровням напряжения

750 кВ

500 кВ

330 кВ

220 кВ

150-110 кВ

27,5-60 кВ

1-20 кВ

0,4 кВ

Всего

млн. кВт. ч

%*

млн. к Вт. ч

%

млн. кВт. ч

%

млн. кВт. ч

%

млн. кВт. ч

%

млн. кВт. ч

%

млн. к Вт. ч

%

млн. кВт. ч

%

млн. кВт. ч

%

1

2

3

4

5

6

7

8

9

10

11

12

13

14

15

16

17

18

19

20

1

Отпуск электроэнергии из сети (п. 3 таблицы 2)

 

X

 

X

 

X

 

X

 

X

 

X

 

X

 

X

 

X

2

Условно-постоянные потери электроэнергии

 

 

 

 

 

 

 

 

 

 

 

 

 

 

 

 

 

 

2.1

Холостой ход трансформаторов

 

 

 

 

 

 

 

 

 

 

 

 

 

 

 

 

 

 

2.2

Корона в воздушных линиях

 

 

 

 

 

 

 

 

 

 

 

 

 

 

 

 

 

 

2.3

Токи утечки в воздушных линиях

 

 

 

 

 

 

 

 

 

 

 

 

 

 

 

 

 

 

2.4

Изоляция в кабельных линиях

 

 

 

 

 

 

 

 

 

 

 

 

 

 

 

 

 

 

2.5

Измерительные трансформаторы тока

 

 

 

 

 

 

 

 

 

 

 

 

 

 

 

 

 

 

2.6

Измерительные трансформаторы напряжения

 

 

 

 

 

 

 

 

 

 

 

 

 

 

 

 

 

 

2.7

Счетчики прямого включения

 

 

 

 

 

 

 

 

 

 

 

 

 

 

 

 

 

 

2.8

Шунтирующие реакторы

 

 

 

 

 

 

 

 

 

 

 

 

 

 

 

 

 

 

2.9

Соединительные провода и сборные шины подстанций

 

 

 

 

 

 

 

 

 

 

 

 

 

 

 

 

 

 

2.10

Вентильные разрядники

 

 

 

 

 

 

 

 

 

 

 

 

 

 

 

 

 

 

2.11

Ограничители перенапряжений

 

 

 

 

 

 

 

 

 

 

 

 

 

 

 

 

 

 

2.12

Устройства присоединения ВЧ-связи

 

 

 

 

 

 

 

 

 

 

 

 

 

 

 

 

 

 

2.13

Компенсирующие устройства

 

 

 

 

 

 

 

 

 

 

 

 

 

 

 

 

 

 

2.14

Расход электроэнергии на собственные нужды

 

 

 

 

 

 

 

 

 

 

 

 

 

 

 

 

 

 

2.15

Расход электроэнергии на плавку гололеда

 

 

 

 

 

 

 

 

 

 

 

 

 

 

 

 

 

 

3

Нагрузочные потери электроэнергии

 

 

 

 

 

 

 

 

 

 

 

 

 

 

 

 

 

 

3.1

Трансформаторы

 

 

 

 

 

 

 

 

 

 

 

 

 

 

 

 

 

 

3.1

Трансформаторы

 

 

 

 

 

 

 

 

 

 

 

 

 

 

 

 

 

 

3.2

Линии

 

 

 

 

 

 

 

 

 

 

 

 

 

 

 

 

 

 

3.3

Токоограничивающие реакторы

 

 

 

 

 

 

 

 

 

 

 

 

 

 

 

 

 

 

3.4

Шинопроводы

 

 

 

 

 

 

 

 

 

 

 

 

 

 

 

 

 

 

4

Технические потери электроэнергии (п. 2+п. 3)

 

 

 

 

 

 

 

 

 

 

 

 

 

 

 

 

 

 

5

Потери электроэнергии, обусловленные допустимой погрешностью приборов учета

 

 

 

 

 

 

 

 

 

 

 

 

 

 

 

 

 

 

6

Технологические потери электроэнергии (п. 4+п. 5)

 

 

 

 

 

 

 

 

 

 

 

 

 

 

 

 

 

 

_____________________________________________________________________________

Подпись                               Ф.И.О.                    Должность

Таблица 6 - Сводный баланс электроэнергии по уровням напряжения в базовом и регулируемом годах

_________________________________________________________________________

Наименование

№ п/п

Наименование показателя

Единица измерения

Численное значение показателя по уровням напряжения

Базовый год

Регулируемый год

Всего

ВН

CHI

СНII

НН

Всего

ВН

CHI

СНII

НН

1

2

3

4

5

6

7

8

9

10

11

12

13

1

Прием электроэнергии в сеть

млн.кВт.ч

 

 

 

 

 

 

 

 

 

 

2

Отдача электроэнергии из сетей

млн.кВт.ч

 

 

 

 

 

 

 

 

 

 

3

Отпуск электроэнергии из сети

млн.кВт.ч

 

 

 

 

 

 

 

 

 

 

4

Прием электроэнергии из сети смежного напряжения

млн.кВт.ч

X

X

 

 

 

X

X

 

 

 

5

Отдача электроэнергии в сети смежного напряжения

млн.кВт.ч

X

 

 

 

X

X

 

 

 

X

6

Объем (количество) переданной (потребленной) электроэнергии

млн.кВт.ч

 

 

 

 

 

 

 

 

 

 

6.1

в том числе: расход электроэнергии на производственные (с учетом хозяйственных) нужды

млн.кВт.ч

 

 

 

 

 

 

 

 

 

 

7

Фактические (отчетные) потери электроэнергии в сети

млн.кВт.ч

 

 

 

 

 

 

 

 

 

 

7.1

Справочно:

Фактические (отчетные) потери электроэнергии в процентах от отпуска электроэнергии из сети

%

 

 

 

 

 

 

 

 

 

 

8

Технологические потери электроэнергии

млн.кВт.ч

 

 

 

 

 

 

 

 

 

 

9

Справочно:

Нетехнические потери электроэнергии

млн.кВт.ч

 

 

 

 

 

 

 

 

 

 

9.1

Справочно:

Нетехнические потери электроэнергии в процентах от отпуска электроэнергии из сети

%

 

 

 

 

 

 

 

 

 

 

10

Справочно:

Норматив технологических потерь электроэнергии в процентах от отпуска электроэнергии из сети

%

 

 

 

 

 

 

 

 

 

 

_____________________________________________________________________________

Подпись                               Ф.И.О.                    Должность

Приложение 5*

к Инструкции по организации в Министерстве энергетики

Российской Федерации работы по расчету и обоснованию

нормативов технологических потерь электроэнергии при ее

передаче по электрическим сетям

Формы таблиц, обосновывающих значения нормативов технологических потерь электроэнергии

(Образец)

Таблица 1 - Показатели баланса электроэнергии в целом по электрическим сетям предприятий

______________________________________________________________________________

Наименование предприятия

№ п/п

Наименование показателя

Единица измерения

Численное значение показателя по годам

Год, предшеству­ющий базовому

Базовый год

Текущий год

Регулируе­мый год

1

2

3

4

5

6

7

1

Прием электроэнергии в сеть*, всего

тыс.кВт.ч

 

 

 

 

1.1

в том числе из сетей ФСК

тыс.кВт.ч

 

 

 

 

1.2

из сетей МСК

тыс.кВт.ч

 

 

 

 

1.3

из сетей ССО*

тыс.кВт.ч

 

 

 

 

1.4

из сетей ГК*

тыс.кВт.ч

 

 

 

 

1.5

от блок-станций

тыс.кВт.ч

 

 

 

 

2

Отдача электроэнергии из сети*, всего

тыс.кВт.ч

 

 

 

 

2.1

в том числе в сети ФСК

тыс.кВт.ч

 

 

 

 

2.2

в сети МСК

тыс.кВт.ч

 

 

 

 

2.3

в сети ССО

тыс.кВт.ч

 

 

 

 

2.4

в сети ГК

тыс.кВт.ч

 

 

 

 

3

Отпуск электроэнергии в сеть (п. 1-п. 2)*, всего

тыс.кВт.ч

 

 

 

 

3.1

в том числе отпуск в сеть для субабонентов

тыс.кВт.ч

 

 

 

 

4

Объем (количество) переданной (потребленной) электроэнергии*, всего в том числе:

тыс.кВт.ч

 

 

 

 

4.1

расход электроэнергии на производственные (с учетом хозяйственных) нужды

тыс.кВт.ч

 

 

 

 

4.2

объем переданной (потребленной) электроэнергии субабонентам

тыс.кВт.ч

 

 

 

 

5

Фактические (отчетные) потери электроэнергии (п. 3-п. 4)

тыс.кВт.ч

 

 

 

 

5.1

Справочно:

Фактические (отчетные) потери электроэнергии в процентах от отпуска электроэнергии в сеть (п. 5/п. 3)

%

 

 

 

 

6

Потери электроэнергии, учтенные в тарифе на передачу электроэнергии, всего

тыс.кВт.ч

 

 

 

Х

%

 

 

 

Х

7

Потери электроэнергии, утвержденные в Минэнерго России, всего

тыс.кВт.ч

 

 

 

Х

%

 

 

 

Х

8

Сверхнормативные потери электроэнергии (п. 5-п. 6)

тыс.кВт.ч

 

 

 

 

8.1

Справочно:

Сверхнормативные потери электроэнергии в процентах от отпуска электроэнергии в сеть (п. 8/п. 3)

%

 

 

 

 

* Примечания: 1. Прием электроэнергии в сеть определяется как сумма объемов электроэнергии, поступившей (поставленной) в электрическую сеть из других (смежных) сетевых организаций и от производителей электроэнергии (несальдируемая величина).

2. ССО - смежная сетевая организация, расположенная на территории другого субъекта Российской Федерации.

3. ГК - генерирующая компания.

4. Отдача электроэнергии из сети определяется как сумма объемов электроэнергии, отпущенной из электрической сети в другие смежные сетевые организации другого субъекта Российской Федерации и в сети производителей электроэнергии (не включая объем (количество) переданной (потребленной) электроэнергии) (несальдируемая величина).

5. Отпуск электроэнергии в электрическую сеть предприятия (отпуск в сеть) определяется как разность между приемом электроэнергии в сеть и ее отдачей из электрической сети.

6. Объем (количество) переданной (потребленной) электроэнергии определяется как объем электроэнергии, переданной по электрическим сетям предприятия для собственного потребления предприятием и субабонентам.

_____________________________

* В Приложении № 5 представлены таблицы (№ 1, 2, 2А, 6, 7, 8), отличающиеся от таблиц для TCO, в виду особенностей нормирования технологических потерь электроэнергии в электрических сетях предприятий, оказывающих услуги по передаче электроэнергии субабонентам. Остальные таблицы (№ 3, 4, 4А, 5) аналогичны таблицам, представленным в Приложении 3

_____________________________________________________________________________

Подпись                               Ф.И.О.                    Должность

Таблица 2 - Структура баланса электроэнергии по уровням напряжения в базовом году ____

____________________________________________________________________

Наименование предприятия

№ п/п

Наименование показателя

Единица измерения

Численное значение показателей по уровням напряжения

Всего

220 кВ

150-110 кВ

27,5-60 кВ

1-20 кВ

0,4 кВ

1

2

3

4

5

6

7

8

9

1

Прием электроэнергии в сеть, всего

тыс.кВт.ч

 

 

 

 

 

 

1.1

в том числе из сетей ФСК

тыс.кВт.ч

 

 

 

 

 

 

1.2

из сетей МСК

тыс.кВт.ч

 

 

 

 

 

 

1.3

из сетей ССО

тыс.кВт.ч

 

 

 

 

 

 

1.4

от сетей ГК

тыс.кВт.ч

 

 

 

 

 

 

1.5

от блок-станций

тыс.кВт.ч

 

 

 

 

 

 

2

Отдача электроэнергии из сетей, всего

тыс.кВт.ч

 

 

 

 

 

 

2.1

в том числе в сети ФСК

тыс.кВт.ч

 

 

 

 

 

2.2

в сети МСК

тыс.кВт.ч

 

 

 

 

 

 

2.3

в сети ССО

тыс.кВт.ч

 

 

 

 

 

 

2.4

в сети ГК

тыс.кВт.ч

 

 

 

 

 

 

3

Прием электроэнергии из сети смежного напряжения, всего

тыс.кВт.ч

X

 

 

 

 

 

3.1

в том числе из сетей 220 кВ

тыс.кВт.ч

X

X

 

 

 

X

3.2

из сетей 110 кВ

тыс.кВт.ч

X

X

X

 

 

X

3.3

из сетей 27,5-60 кВ

тыс.кВт.ч

X

X

X

X

 

 

3.4

из сетей 1-20 кВ

тыс.кВт.ч

X

X

X

X

X

 

4

Отдача электроэнергии в сети смежного напряжения, всего

тыс.кВт.ч

X

 

 

 

 

X

4.1

в том числе в сеть 110 кВ

тыс.кВт.ч

X

 

X

X

X

X

4.2

в сеть 27,5-60 кВ

тыс.кВт.ч

X

 

 

X

X

X

4.3

в сеть 1-20 кВ

тыс.кВт.ч

X

 

 

 

X

X

4.4

в сеть 0,4 кВ

тыс.кВт.ч

X

X

X

 

 

X

5

Отпуск электроэнергии в сеть (п. 1-п. 2+п. 3)* всего,

тыс.кВт.ч

 

 

 

 

 

 

6

Объем (количество) переданной (потребленной) электроэнергии,* всего

тыс.кВт.ч

 

 

 

 

 

 

6.1

в том числе:

объем (количество) переданной (потребленной) электроэнергии энергопринимающим устройствам предприятия и субабонентам, непосредственно подключенным к шинам подстанций

тыс.кВт.ч

 

 

 

 

 

 

6.1.1.

первичный уровень напряжения подстанции ВН

тыс. кВт.ч

 

X

X

 

 

X

6.1.2.

первичный уровень напряжения подстанции СНI

тыс.кВт.ч

 

X

X

X

 

 

6.1.3.

первичный уровень напряжения подстанции СНII

тыс.кВт.ч

 

X

X

X

X

 

6.2

расход электроэнергии на производственные (с учетом хозяйственных) нужды

тыс.кВт.ч

 

 

 

 

 

 

6.3

объем переданной (потребленной) электроэнергии субабонентам

тыс.кВт.ч

 

 

 

 

 

 

7

Фактические (отчетные) потери электроэнергии в сети (п. 5-п. 6-п. 4)

тыс.кВт.ч

 

 

 

 

 

 

7.1

Справочно:

Фактические (отчетные) потери электроэнергии в процентах от отпуска электроэнергии в сеть (п. 7/п. 5)

%

 

 

 

 

 

 

8

Технологические потери электроэнергии, всего

тыс.кВт.ч

 

 

 

 

 

 

8.1

в том числе: условно-постоянные

тыс.кВт.ч

 

 

 

 

 

 

8.2

нагрузочные

тыс.кВт.ч

 

 

 

 

 

 

8.3

потери, обусловленные допустимыми погрешностями приборов учета

тыс.кВт.ч

 

 

 

 

 

 

8.4

Справочно:

Технологические потери электроэнергии в процентах от отпуска электроэнергии в сеть (п. 8/п. 5)

%

 

 

 

 

 

 

9

Справочно:

Нетехнические потери электроэнергии (п. 7-п. 8)

тыс.кВт.ч

 

 

 

 

 

 

9.1

Справочно:

Нетехнические потери электроэнергии в процентах от отпуска электроэнергии в сеть (п. 9/п. 5)

%

 

 

 

 

 

 

* Примечания: 1. Отпуск электроэнергии в сеть (строка № 5) по уровням напряжения (столбцы № 5-9) определяется с учетом приема электроэнергии из сети смежного напряжения. Отпуск электроэнергии в сеть в целом (столбец № 4) определяется как разность между приемом электроэнергии в сеть и отдачей электроэнергии из сети (без учета приема электроэнергии из сети смежного напряжения).

2. Объем (количество) переданной электроэнергии определяется как сумма объемов переданной электроэнергии, сформированных в соответствии с фактическим уровнем номинального напряжения оборудования предприятия, к которому подключен потребитель услуг по передаче электроэнергии.

3. Значения в строке 6 не являются суммой значений строк 6.1, 6.2 и 6.3.

4. В строке 6.1 указывается полная сумма объема переданной (потребленной) электроэнергии потребителям, непосредственно подключенным к шинам подстанций.

5. В строке 6.2 указывается полная сумма объема электроэнергии на производственные (хозяйственные) нужды.

_____________________________________________________________________________

Подпись                               Ф.И.О.                    Должность

Таблица 2А - Структура баланса электроэнергии по уровням напряжения в регулируемом году

____________________________________________________________________________

Наименование предприятия

№ п/п

Наименование показателя

Единица измерения

Численное значение показателей по уровням напряжения

Всего

220 кВ

150-110 кВ

27,5-60 кВ

1-20 кВ

0,4 кВ

1

2

3

4

5

6

7

8

9

1

Прием электроэнергии в сеть, всего

тыс.кВт.ч

 

 

 

 

 

 

1.1

в том числе из сетей ФСК

тыс.кВт.ч

 

 

 

 

 

 

1.2

из сетей МСК

тыс.кВт.ч

 

 

 

 

 

 

1.3

из сетей ССО

тыс.кВт.ч

 

 

 

 

 

 

1.4

от сетей ГК

тыс.кВт.ч

 

 

 

 

 

 

1.5

от блок-станций

тыс.кВт.ч

 

 

 

 

 

 

2

Отдача электроэнергии из сетей, всего

тыс.кВт.ч

 

 

 

 

 

 

2.1

в том числе в сети ФСК

тыс.кВт.ч

 

 

 

 

 

 

2.2

в сети МСК

тыс.кВт.ч

 

 

 

 

 

 

2.3

в сети ССО

тыс.кВт.ч

 

 

 

 

 

 

2.4

в сети ГК

тыс.кВт.ч

 

 

 

 

 

 

3

Прием электроэнергии из сети смежного напряжения, всего

тыс.кВт.ч

X

 

 

 

 

 

3.1

в том числе из сетей 220 кВ

тыс.кВт.ч

X

X

 

 

 

X

3.2

из сетей 110 кВ

тыс.кВт.ч

X

X

X

 

 

X

3.3

из сетей 27,5-60 кВ

тыс.кВт.ч

X

X

X

X

 

 

3.4

из сетей 1-20 кВ

тыс.кВт.ч

X

X

X

X

X

 

4

Отдача электроэнергии в сети смежного напряжения, всего

тыс.кВт.ч

X

 

 

 

 

X

4.1

в том числе в сеть 110 кВ

тыс.кВт.ч

X

 

X

X

X

X

4.2

в сеть 27,5-60 кВ

тыс.кВт.ч

X

 

 

X

X

X

4.3

в сеть 1-20 кВ

тыс.кВт.ч

X

 

 

 

X

X

4.4

в сеть 0,4 кВ

тыс.кВт.ч

X

X

X

 

 

X

5

Отпуск электроэнергии в сеть (п. 1-п. 2+п. 3)* всего,

тыс.кВт.ч

 

 

 

 

 

 

6

Объем (количество) переданной (потребленной) электроэнергии,* всего

тыс.кВт.ч

 

 

 

 

 

 

6.1

в том числе:

объем (количество) переданной (потребленной) электроэнергии энергопринимающим устройствам предприятия и субабонентам, непосредственно подключенным к шинам подстанций

тыс.кВт.ч

 

 

 

 

 

 

6.1.1

первичный уровень напряжения подстанции ВН

тыс.кВт.ч

 

X

X

 

 

X

6.1.2

первичный уровень напряжения подстанции СНI

тыс.кВт.ч

 

X

X

X

 

 

6.1.3

первичный уровень напряжения подстанции СНII

тыс.кВт.ч

 

X

X

X

X

 

6.2

расход электроэнергии на производственные (с учетом хозяйственных) нужды

тыс.кВт.ч

 

 

 

 

 

 

6.3

объем переданной (потребленной) электроэнергии субабонентам

тыс.кВт.ч

 

 

 

 

 

 

7

Фактические (отчетные) потери электроэнергии в сети (п. 5-п. 6-п. 4)

тыс.кВт.ч

 

 

 

 

 

 

7.1

Справочно:

Фактические (отчетные) потери электроэнергии в процентах от отпуска электроэнергии в сеть (п. 7/п. 5)

%

 

 

 

 

 

 

8

Технологические потери электроэнергии, всего

тыс.кВт.ч

 

 

 

 

 

 

8.1

в том числе: условно-постоянные

тыс.кВт.ч

 

 

 

 

 

 

8.2

нагрузочные

тыс.кВт.ч

 

 

 

 

 

 

8.3

потери, обусловленные допустимыми погрешностями приборов учета

тыс.кВт.ч

 

 

 

 

 

 

8.4

Справочно:

Технологические потери электроэнергии в процентах от отпуска электроэнергии в сеть (п. 8/п. 5)

%

 

 

 

 

 

 

9

Справочно:

Нетехнические потери электроэнергии (п. 7-п. 8)

тыс.кВт.ч

 

 

 

 

 

 

9.1

Справочно:

Нетехнические потери электроэнергии в процентах от отпуска электроэнергии в сеть (п. 9/п. 5)

%

 

 

 

 

 

 

_____________________________________________________________________________

Подпись                               Ф.И.О.                    Должность

Таблица 6 - Сводный баланс электроэнергии по уровням напряжения в базовом и регулируемом годах

_______________________________________________________________________

Наименование предприятия

№ п/п

Наименование показателя

Единица измерения

Численное значение показателя по уровням напряжения

Базовый год

Регулируемый год

Всего

ВН

CHI

СНII

НН

Всего

ВН

CHI

СНII

НН

1

2

3

4

5

6

7

8

9

10

11

12

13

1.

Отпуск электроэнергии в сеть (п. 5 таблицы 2, п. 5 таблицы 2А), всего

тыс.кВт.ч

 

 

 

 

 

 

 

 

 

 

1.1.

в том числе отпуск электроэнергии для субабонентов

тыс.кВт.ч

X

X

X

X

X

 

X

X

X

X

2.

Отдача электроэнергии в сети смежного напряжения

тыс.кВт.ч

X

 

 

 

X

X

 

 

 

X

3.

Объем (количество) переданной (потребленной) электроэнергии всего,

тыс.кВт.ч

 

 

 

 

 

 

 

 

 

 

3.1.

в том числе

 

 

 

 

 

 

 

 

 

 

 

 

объем (количество) переданной (потребленной) электроэнергии энергопринимающим устройствам предприятия и субабонентам, непосредственно подключенным к шинам подстанций, всего

тыс.кВт.ч

 

 

 

 

 

 

 

 

 

 

3.2.

расход электроэнергии на производственные (с учетом хозяйственных) нужды

тыс.кВт.ч

 

 

 

 

 

 

 

 

 

 

3.3.

объем переданной (потребленной) электроэнергии субабонентам

тыс.кВт.ч

 

 

 

 

 

 

 

 

 

 

4.

Фактические (отчетные) потери электроэнергии в сети (п. 1-п. 2-п. 3)

тыс.кВт.ч

 

 

 

 

 

 

 

 

 

 

4.1.

Справочно:

Фактические (отчетные) потери электроэнергии в процентах от отпуска электроэнергии в сеть (п. 4/п. 1)

%

 

 

 

 

 

 

 

 

 

 

5.

Технологические потери электроэнергии, всего

тыс.кВт.ч

 

 

 

 

 

 

 

 

 

 

5.1.

в том числе

обусловленные передачей электроэнергии субабонентам

тыс. кВт.ч

X

X

X

X

X

 

X

X

X

X

6.

Нетехнические потери электроэнергии (п. 4-п. 5)

тыс.кВт.ч

 

 

 

 

 

 

 

 

 

 

6.1.

Справочно:

Нетехнические потери электроэнергии в процентах от отпуска электроэнергии в сеть (п. 6/п. 1)

%

 

 

 

 

 

 

 

 

 

 

7.

Справочно:

Технологические потери электроэнергии в процентах от отпуска электроэнергии в сеть (п. 5/п. 1)

%

 

 

 

 

 

 

 

 

 

 

7.1.

Справочно:

Нормативные технологические потери электроэнергии в процентах от отпуска электроэнергии в сеть (п. 5.1/п. 1.1)

%

 

X

X

X

X

 

X

X

X

X

_____________________________________________________________________________

Подпись                               Ф.И.О.                    Должность

Таблица 7 - Количество и установленная мощность трансформаторов

_______________________________________________________________

Наименование предприятия

№ п/п

Единичная мощность, кВ×А

Высшее напряжение, кВ

Количество, шт.

Установленная мощность, кВхА

Базовый год

Регулируемый год

Базовый год

Регулируемый год

Всего

для передачи электроэ­нергии субабонен­там

Всего

для передачи электроэне­ргии субабонен­там

Всего

для передачи электроэнер­гии субабонентам

Всего

для передачи электроэнер­гии субабонентам

1

2

3

4

5

6

7

8

9

10

11

1.1

До 2500

3-20

 

 

 

 

 

 

 

 

1.2

27,5-35

 

 

 

 

 

 

 

 

2.1

От 2500 до 10000

3-20

 

 

 

 

 

 

 

 

2.2

35

 

 

 

 

 

 

 

 

2.3

110-154

 

 

 

 

 

 

 

 

3.1

От 10000 до 80000 включитель­но

3-20

 

 

 

 

 

 

 

 

3.2

27,5-35

 

 

 

 

 

 

 

 

3.3

110-154

 

 

 

 

 

 

 

 

3.4

220

 

 

 

 

 

 

 

 

4.1

Более 80000

110-154

 

 

 

 

 

 

 

 

4.2

220

 

 

 

 

 

 

 

 

4.3

330 однофазные

 

 

 

 

 

 

 

 

4.4

330 трехфазные

 

 

 

 

 

 

 

 

4.5

400-500 однофазные

 

 

 

 

 

 

 

 

4.6

400-500 трехфазные

 

 

 

 

 

 

 

 

4.7

750-1150

 

 

 

 

 

 

 

 

5

Итого:

-

 

 

 

 

 

 

 

 

Примечания: 1. Резервные не используемые трансформаторы, а также специальные трансформаторы для плавки гололеда в таблицу не включаются.

2. В столбце "Всего" указываются значения объемов оборудования по электрической сети, участвующей в процессе передачи электроэнергии субабонентам.

3. В столбце "для передачи электроэнергии субабонентам" в случае наличия объемов оборудования, участвующего в процессе передачи электроэнергии только субабонентам (без собственного потребления электроэнергии предприятием), указываются их значения

_____________________________________________________________________________

Подпись                               Ф.И.О.                    Должность

Таблица 8 - Количество и мощность устройств компенсации реактивной мощности

_______________________________________________________________

Наименование предприятия

№ п/п

Тип

Напряжение, кВ

Количество, шт./группы

Установленная мощность, Мвар

Мощность, тыс.кВxА

Базовый год

Регулируемый год

Базовый год

Регулируемый год

Всего

для передачи электроэне­ргии субабонен­там

Всего

для передачи электроэне­ргии субабонен­там

Всего

для передачи электроэне­ргии субабонен­там

Всего

для передачи электроэне­ргии субабонен­там

1

2

3

4

5

6

7

8

9

10

11

1.1

Шунтирую­щие реакторы

3-20 кВ

 

 

 

 

 

 

 

 

1.2

27,5-35 кВ

 

 

 

 

 

 

 

 

1.3

150-110 кВ

 

 

 

 

 

 

 

 

1.4

500 кВ

 

 

 

 

 

 

 

 

1.5

750 кВ

 

 

 

 

 

 

 

 

1.6

Итого

 

 

 

 

 

 

 

 

2.1

СК и генераторы, в режиме СК

до 15,0 тыс.кВ×А

 

 

 

 

 

 

 

 

2.2

от 15,0 до 37,5 тыс.кВ×А

 

 

 

 

 

 

 

 

2.3

50 тыс.кВ×А

 

 

 

 

 

 

 

 

2.4

от 75,0 до 100,0 тыс.кВ×А

 

 

 

 

 

 

 

 

2.5

160 тыс.кВ×А

 

 

 

 

 

 

 

 

2.6

Итого

 

 

 

 

 

 

 

 

3.1

БСК и СТК

0,4-20 кВ

 

 

 

 

 

 

 

 

3.2

35 кВ

 

 

 

 

 

 

 

 

3.3

150-110 кВ

 

 

 

 

 

 

 

 

3.4

220 кВ и выше

 

 

 

 

 

 

 

 

3.5

Итого

 

 

 

 

 

 

 

 

Примечания: 1. В столбце "Всего" указываются значения объемов оборудования по электрической сети, участвующей в процессе передачи электроэнергии субабонентам.

2. В столбце "для передачи электроэнергии субабонентам" в случае наличия объемов оборудования, участвующего в процессе передачи электроэнергии только субабонентам (без собственного потребления электроэнергии предприятием), указываются их значения

_____________________________________________________________________________

Подпись                               Ф.И.О.                    Должность

Таблица 9 - Протяженность (по цепям) воздушных и кабельных линий электропередачи и шинопроводов

_________________________________________________________________________

Наименование ТСО

№ п/п

Класс напряжения

Протяженность, км

базовый год

регулируемый год

1

2

3

4

1

Воздушные линии

1.1

1150 кВ

 

 

1.2

800 кВ

 

 

1.3

750 кВ

 

 

1.4

500 кВ

 

 

1.5

400 кВ

 

 

1.6

330 кВ

 

 

1.7

220 кВ

 

 

1.8

154 кВ

 

 

1.9

110 кВ

 

 

1.10

35 кВ

 

 

1.11

27,5 кВ

 

 

1.12

20 кВ

 

 

1.13

10 кВ

 

 

1.14

6 кВ

 

 

1.15

Итого от 6 кВ и выше

 

 

1.16

3 кВ

 

 

1.17

2 кВ

 

 

1.18

500 вольт и ниже

 

 

1.19

Итого ниже 6 кВ

 

 

1.20

Всего по воздушным линиям

 

 

2

Кабельные линии

2.1

220 кВ

 

 

2.2

110 кВ

 

 

2.3

35 кВ

 

 

2.4

27,5 кВ

 

 

2.5

20 кВ

 

 

2.6

10 кВ

 

 

2.7

6 кВ

 

 

2.8

Итого от 6 кВ и выше

 

 

2.9

3 кВ

 

 

2.10

2 кВ

 

 

 

№ п/п

Класс напряжения

Протяженность, км

Базовый год

Регулируемый год

Всего

для передачи электроэнергии субабонентам

Всего

для передачи электроэнергии субабонентам

2.10

2 кВ

 

 

 

 

2.11

500 Вольт и ниже

 

 

 

 

2.12

Итого ниже 6 кВ

 

 

 

 

2.13

Всего по кабельным линиям

 

 

 

 

3

Всего по воздушным и кабельным линиям

 

 

 

 

4

Шинопроводы

4.1

220 кВ

 

 

 

 

4.2

154 кВ

 

 

 

 

4.3

110 кВ

 

 

 

 

4.4

35 кВ

 

 

 

 

4.5

27,5 кВ

 

 

 

 

4.6

20 кВ

 

 

 

 

4.7

10 кВ

 

 

 

 

4.8

6 кВ

 

 

 

 

4.9

Всего по шинопроводам

 

 

 

 

Примечания: 1. В столбце "Всего" указываются значения объемов оборудования по электрической сети, участвующей в процессе передачи электроэнергии субабонентам.

2. В столбце "для передачи электроэнергии субабонентам" в случае наличия объемов оборудования, участвующего в процессе передачи электроэнергии только субабонентам (без собственного потребления электроэнергии предприятием), указываются их значения

_____________________________________________________________________________

Подпись                               Ф.И.О.                    Должность

 

2008-2013. ГОСТы, СНиПы, СанПиНы - Нормативные документы - стандарты.